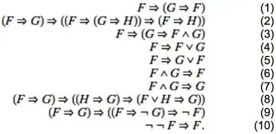
I have found conflicting lists of axioms in propositional calculus in Kleene, $2002$, and on Wikipedia. From what I can tell, carefully reasoning through each of the statements reveals that are tautologies, and since the only real understanding I have surroundings logical axioms is that they are tautologies, I can't quite decide which source to trust.
Any help is appreciated, thank you.

