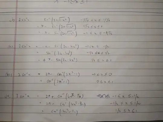
What is the logic behind adding/subtracting pi in the above formulas? I have heard from people that graphs can help but I'm not sure how.
Asked
Active
Viewed 46 times
0
-
If you really must include pictures, please ensure they are all the right way up. – Angina Seng Jan 19 '19 at 07:28
-
Apologies. Edited the question – user3508140 Jan 19 '19 at 07:30
-
As Range of the function $f(x)$=$arcsin$ $x$ is $[-π/2,π/2]$......also for $arccos$ ,etc – Supriyo Banerjee Jan 19 '19 at 07:36
-
https://math.stackexchange.com/questions/672575/proof-for-the-formula-of-sum-of-arcsine-functions-arcsin-x-arcsin-y – lab bhattacharjee Jan 19 '19 at 07:42

