18

I want a simple proof that $\zeta$ has infinitely many zeros in the critical strip.

The function $$\xi(s) = \frac{1}{2} s (s-1) \pi^{\tfrac{s}{2}} \Gamma(\tfrac{s}{2})\zeta(s)$$ has exactly the non-trivial zeros of $\zeta$ as its zeros ($\Gamma$ cancels all the trivial ones out). It also satisfies the functional equation $\xi(s) = \xi(1-s)$.

If we assume it has finitely many zeros, what analysis could get a contradiction?

I found an outline for a way to do it here but I can't do the details myself: https://mathoverflow.net/questions/13647/why-does-the-riemann-zeta-function-have-non-trivial-zeros/13762#13762

6 Answers6

19

Hardy proved in 1914 that an infinity of zeros were on the critical line ("Sur les zéros de la fonction $\zeta(s)$ de Riemann" Comptes rendus hebdomadaires des séances de l'Académie des sciences. 1914).
Of course other zeros could exist elsewhere in the critical strip.

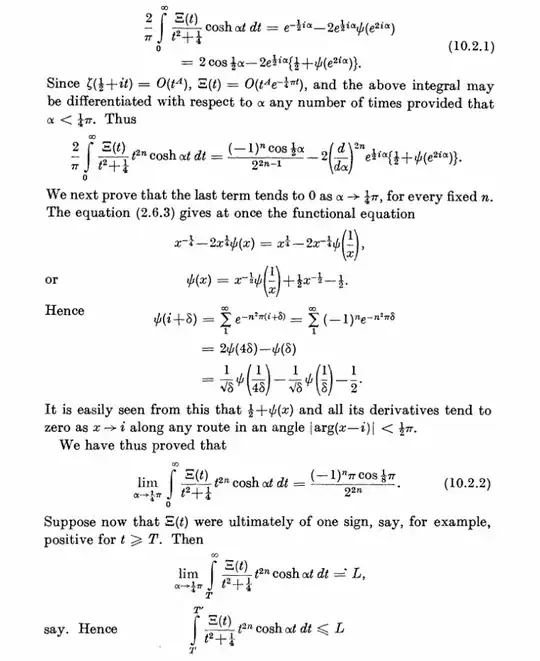
Let's exhibit the main idea starting with the Xi function defined by : $$\Xi(t):=\xi\left(\frac 12+it\right)=-\frac 12\left(t^2+\frac 14\right)\,\pi^{-\frac 14-\frac{it}2}\,\Gamma\left(\frac 14+\frac{it}2\right)\,\zeta\left(\frac 12+it\right)$$ $\Xi(t)$ is an even integral function of $t$, real for real $t$ because of the functional equation (applied to $s=\frac 12+it$) : $$\xi(s)=\frac 12s(s-1)\pi^{-\frac s2}\,\Gamma\left(\frac s2\right)\,\zeta(s)=\frac 12s(s-1)\pi^{\frac {s-1}2}\,\Gamma\left(\frac {1-s}2\right)\,\zeta(1-s)=\xi(1-s)$$ We observe that a zero of $\zeta$ on the critical line will give a real zero of $\,\Xi(t)$.

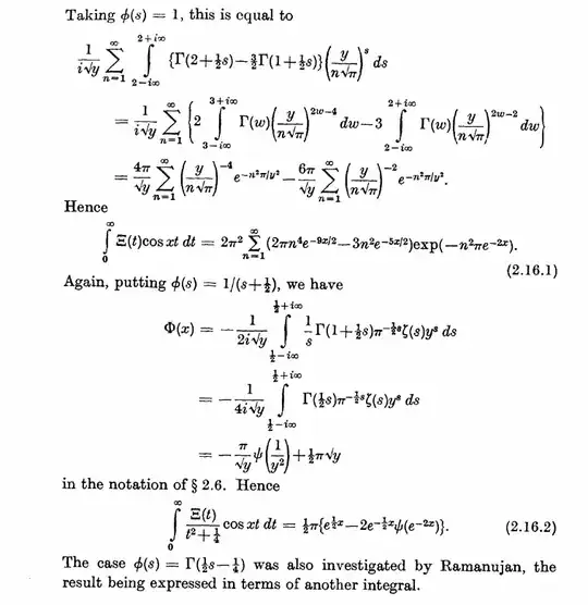
Now it can be proved (using Ramanujan's $(2.16.2)$ reproduced at the end) that : $$\int_0^\infty\frac{\Xi(t)}{t^2+\frac 14}\cos(x t)\,dt=\frac{\pi}2\left(e^{\frac x2}-2e^{-\frac x2}\psi\left(e^{-2x}\right)\right)$$ where $\,\displaystyle \psi(s):=\sum_{n=1}^\infty e^{-n^2\pi s}\ $ is the theta function used by Riemann

Setting $\ x:=-i\alpha\ $ and after $2n$ derivations relatively to $\alpha$ we get (see Titchmarsh's first proof $10.2$, alternative proofs follow in the book...) : $$\lim_{\alpha\to\frac{\pi}4}\,\int_0^\infty\frac{\Xi(t)}{t^2+\frac 14}t^{2n}\cosh(\alpha t)\,dt=\frac{(-1)^n\,\pi\,\cos\bigl(\frac{\pi}8\bigr)}{4^n}$$ Let's suppose that $\Xi(t)$ doesn't change sign for $\,t\ge T\,$ then the integral will be uniformly convergent with respect to $\alpha$ for $0\le\alpha\le\frac{\pi}4$ so that, for every $n$, we will have (at the limit) : $$\int_0^\infty\frac{\Xi(t)}{t^2+\frac 14}t^{2n}\cosh\left(\frac {\pi t}4\right)\,dt=\frac{(-1)^n\,\pi\,\cos\bigl(\frac{\pi}8\bigr)}{4^n}$$

But this is not possible since, from our hypothesis, the left-hand side has the same sign for sufficiently large values of $n$ (c.f. Titchmarsh) while the right part has alternating signs.
This proves that $\Xi(t)$ must change sign infinitely often and that $\zeta\left(\frac 12+it\right)$ has an infinity of real solutions $t$.

Probably not as simple as you hoped but a stronger result! $$-$$

From Titchmarsh's book "The Theory of the Riemann Zeta-function" p. $35-36\;$ and $\;255-258$ :


p 35 p 36


p 256 p 257b p 257 p 258

Raymond Manzoni
  • 43,021
  • 5
  • 86
  • 140
  • 4
    This is nice, but let's be clear that it's a much stronger result than what the OP asked for. – Pete L. Clark Feb 09 '13 at 20:35
  • @PeteL.Clark: yes you are right of course but my answer had the $\xi$ function and the proof by contradiction! :-) Let's add that the OP asked a more focused question after that. – Raymond Manzoni Feb 10 '13 at 10:44
  • @RaymondManzoni - Your links to Ramanujan's and Titchmarsh's proofs no longer work. Can you comment the titles of those publications or update those links because I really want to read those proofs. – Clyde Jul 09 '14 at 07:11
  • 1
    @nick: the two links were to Titchmarsh's book "The Theory of the Riemann Zeta-function". I updated my answer and added a link to Hardy's paper. Excellent reading, – Raymond Manzoni Jul 09 '14 at 11:20
  • @RaymondManzoni : please look at my answer below and tell me what you think, it is the same argument that a finite number of non-trivial zeros would make everything convergent applied to $\frac{\zeta'(s)}{\zeta(s)}$ – reuns Apr 10 '16 at 18:28
  • @user1952009: Well I would certainly not call 'elementary' a derivation using the explicit formula (your idea appears right but is somewhat circular because von Mangoldt used the vertical distribution of the zeros to prove uniform convergence of the sum over the nontrivial zeros). The formula for the vertical density of the roots found by Riemann proves of course that their count is infinite. Btw the OP asked the question again here. – Raymond Manzoni Apr 10 '16 at 20:16
  • @RaymondManzoni : thank you, I just realized that for applying the residue theorem to $\frac{\zeta'(s)}{s\zeta(s)}$ I needed first to study carefully the distribution of the zeros to prove that $\int_{\sigma+iT}^{-\sigma+iT} \frac{\zeta'(s)}{s\zeta(s)} ds \to 0$ when $T$ becomes large and is chosen such that the contour avoids the zeros of $\zeta(s)$ ... – reuns Apr 10 '16 at 20:46
  • note that assuming a finite number of non-trivial zeros, proving the Riemann explicit formula becomes ... easy ! (from the functional equation and the residue theorem) hence my proof works and is "elementary" in the sense that probably anybody searching for a proof that there are infinitely many non-trivial zeros already knows the Riemann explicit formula :) – reuns Apr 10 '16 at 20:53
  • I have two questions about the derivation:
    1. In 2.16, the last equal sign before "in the notation of §2.6" is unclear to me. How is this integral evaluated?
    2. Why does $\Xi(t)=O(t^A e^{-1/4 \pi t})$ imply that the integrated function is differentiable wrt $\alpha$ whenever $\alpha < 1/4 \pi$?
    – cxrlo Jul 23 '20 at 18:58
  • Let's use the Mellin inversion formula
  • $;\displaystyle e^{-x}=\frac 1{2\pi i}\int_{\sigma-i\infty}^{\sigma+i\infty}\Gamma(s),x^{-s},ds;$ : \begin{align} \Phi(x)&=-\frac 1{4i\sqrt{y}}\int_{\frac 12-i\infty}^{\frac 12+i\infty}\Gamma\left(\frac s2\right)\pi^{-s/2}\zeta(s),y^s,ds\ &=-\frac 1{4i\sqrt{y}}\sum_{n=1}^\infty\int_{\frac 12-i\infty}^{\frac 12+i\infty}\Gamma\left(\frac s2\right)\left(\frac {n\sqrt{\pi}}y\right)^{-s},ds\ \end{align}

    – Raymond Manzoni Jul 24 '20 at 00:25
  • \begin{align}\Phi(x)&=-\frac 1{2i\sqrt{y}}\sum_{n=1}^\infty\int_{\frac 14-i\infty}^{\frac 14+i\infty}\Gamma\left(w\right)\left(\frac {n\sqrt{\pi}}y\right)^{-2w},dw\ &=-\frac {\pi}{\sqrt{y}}\sum_{n=1}^\infty \exp\left(-\frac {n^2\pi}{y^2}\right)\ &=-\frac {\pi}{\sqrt{y}},\psi\left(\frac 1{y^2}\right)\ \end{align} with $,\displaystyle \psi(s)=\sum_{n=1}^\infty \exp(-n^2\pi s),$ as set in §$,2.6$ and without the $\frac {\pi}2\sqrt{y}$ term... – Raymond Manzoni Jul 24 '20 at 00:27
  • In the integral $\displaystyle\int_0^\infty\frac{\Xi(t)}{t^2+\frac 14}\cosh(\alpha t),dt,$ the $,\cosh(\alpha t)$ term will make diverge the derivatives integrals for $\alpha>\pi/4,$ if $;\displaystyle\Xi(t)=O(t^A e^{-t\pi/4})$.
  • – Raymond Manzoni Jul 24 '20 at 00:27
  • Thank you SO much! :) – cxrlo Jul 24 '20 at 12:00
  • One more question, if I may: How can we see $\zeta\left(\frac{1}{2}+it\right) = O(t^A)$ and deduce $\Xi(t) = O(t^Ae^{-\pi t/4})$? Is $A$ the Glaisher-Kinkelin-constant here? – cxrlo Jul 24 '20 at 13:22
  • Many asymptotic estimations exist for $;|\zeta\left(\frac{1}{2}+it\right)|,$ and $A$ is unrelated to G-K's constant. A simple and recent explicit bound is given here. Concerning $;\displaystyle\Xi(t)=-\frac 12\left(t^2+\frac 14\right),\pi^{-\frac 14-\frac{it}2},\Gamma\left(\frac 14+\frac{it}2\right),\zeta\left(\frac 12+it\right),$ it could be an interesting exercise to deduce its asymptotic using A&S relations for $\Gamma$. Fine continuation, – Raymond Manzoni Jul 24 '20 at 15:44
  • ($;\left|\Gamma\left(\frac 14+\frac{it}2\right)\right|$ is very near $e^{-\pi t/4}$) – Raymond Manzoni Jul 24 '20 at 16:15
  • Thanks a lot again, I think with that help I'll be able to comprehend the proof! – cxrlo Jul 24 '20 at 20:31