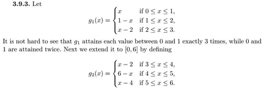
The question and its answer is given below:
But I am wondering how I can prove that the function $f$ attains each real number exactly 3 times, could anyone show me how can I do this?
I also did not understand the proof given in the last paragraph, could anyone explain it for me please?



