2

In the ring of residue classes modulo 20, the book says that the greatest common divisor of residue classes $9$ and $18$ is $9$. But I am getting $1,3,7,9,11,13,17,19$ .

user26857
  • 52,094
Anuj
  • 315

1 Answers1

1

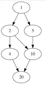
This is the divisibility graph of the classes, where $a\to b$ means $a|b$.

divisibility graph

We don't have to list all the associates, which are in these collections:

$\{1,3,7,9,11,13,17,19\}$

$\{2,6,14,18\}$

$\{4,12,8,16\}$

$\{5,15\}$

$\{10\}$

As far as divisibility is concerned, we don't need to distinguish among associates.

Because of the direction I happened to draw my graph, the GCD's are actually the lowest thing on top of the two given elements. $9$ and $18$ correspond to $1$ and $2$ respectively, so $1$ is the greatest common divisor. This makes sense since $1$ and $9$ are already units.

rschwieb
  • 153,510
  • So the $(9,18)$ is any residue class present in equivalence class of $9$, right? – Anuj Oct 15 '18 at 14:36
  • 1
    @Anuj Yes, if by "equivalence class" you're referring to the divisibility class, not the class of integers mod $20$. – rschwieb Oct 15 '18 at 14:40