4

Is it possible to simplify $\psi^{(2)}(\frac18)$, where $\psi$ denotes the polygamma function?
Or more generalized, $\psi^{(2)}(\frac pq)$ and $\psi^{(2n)}(\frac pq)$?

Background
Noticing there is a formula for $\psi(\frac pq)$, where $p,q\in\mathbb{N}$ and the following formulae:
$\psi^{(2)}(\frac12)=-14\zeta(3)$, $\psi^{(2)}(\frac13)=-26\zeta (3)-\frac{4\pi^3}{3\sqrt{3}}$, $\psi^{(2)}(\frac14)=-2\pi^3-56\zeta(3)$ and $\psi^{(2)}(\frac16)=-182\zeta (3)-4\sqrt{3}\pi^3$, it is natural to ask if there are general formulae.
Attempt
$$\psi^{(2)}\left(\frac pq\right)=\int_0^1\frac{\ln^2 t}{t-1}t^{p/q-1}dt\\=q^3\int_0^1\frac{\ln^2 u}{u^q-1}u^{p-1}du$$ I tried to use contour integration to solve this integral but failed.

Kemono Chen
  • 8,629

2 Answers2

1

This is an answer showing that why $\psi^{(2n)}\left(\frac pq\right)$ has a closed-form when $q=2,3,4,6$ and conjecturing it does not have a general closed-form when $p=5$ or $p\ge7$. (Assuming $L(s,\chi)$ is not a closed-form)
1.$L(2n+1,\chi)$ has a closed-form when $\chi(-1)=-1$
(Where $L$ denotes the $L$-series)
First, denote $f(x,\chi)$ the analytic continuation of $\displaystyle\sum_{n=0}^\infty \chi(n)x^n$. In this question, I showed that $f(x)=-\chi(-1)f\left(\frac1x\right)$.
Noticing $$\int_0^1 x^{n-1}(-\ln x)^{s-1}\frac{dx}{\Gamma(s)}=n^{-s},$$ one can prove that it is valid to change the position of $\sum$ and $\int$: $$L(2s+1,\chi)=\int_0^1\sum_{n=0}^\infty\chi(n)x^{n-1}(-\ln x)^{2s}\frac{dx}{\Gamma(s)}\\ =\frac{1}{2\Gamma(s)}\int_0^\infty\frac{f(x)}{x}(-\ln x)^{2s}dx$$ Since $f(x)$ can be expressed in form $\frac{P(x)}{Q(x)}$, where $P$ and $Q$ are polynomial funtions, the integral has a closed-form according to Residue Theorem.
2.$L(n,\chi)$ has a closed-form when $\chi$ is a principal character
If $n$ is a prime, it is trivial.
If $n=p_1^{\alpha_1}\cdots p_{\tau}^{\alpha_\tau}$, it is always possible to add and subtract some terms to make the series $\zeta(n)$. Furthermore, $L(n,\chi)=\frac pq\zeta(n)$
3.It is possible to deduce $\psi^{(2n)}\left(\frac pq\right)$ from the values of $L$-series when $q=2,3,4,6$.
For simpleness, I will discuss $\zeta\left(n,\frac pq\right)$ instead of $\psi$ here.
$2^nL(n,\chi_{2,1})=\zeta(n,\frac12)$,
$3^nL(n,\chi_{3,1})=\zeta(n,\frac13)+\zeta(n,\frac23)$, $3^nL(n,\chi_{3,2})=\zeta(n,\frac13)-\zeta(n,\frac23)$
$4^nL(n,\chi_{4,1})=\zeta(n,\frac14)+\zeta(n,\frac34)$, $4^nL(n,\chi_{4,2})=\zeta(n,\frac14)-\zeta(n,\frac34)$
$6^nL(n,\chi_{6,1})=\zeta(n,\frac16)+\zeta(n,\frac56)$, $6^nL(n,\chi_{6,2})=\zeta(n,\frac16)-\zeta(n,\frac56)$
Solving this simultaneous equation gives the values of $\zeta\left(n,\frac pq\right)$. (The values of $L$-series in LHS is known when $n$ is odd)
4.Conjecturing it does not have a general closed-form when $p=5$ or $p\ge7$
This post shows that $\varphi(n)>2$ when $n>6$. It is also obvious that $\varphi(5)>2$.
There is $\frac12\varphi(k)+1$ values known in $L(2s+1,\chi)$, and we have $\varphi(k)$ variables. Since $\varphi(k)>2$ for $k=5$ and $k>6$, $\varphi(k)>\frac12\varphi(k)+1$. It is not possible to deduce $\zeta(2s+1,\frac pq)$ via $L$-series.

Kemono Chen
  • 8,629
-1

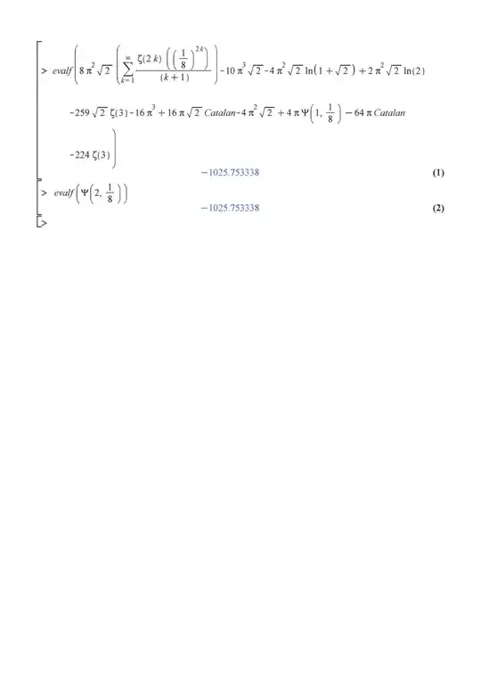
Psi(2,1/8)

I find this formula with Maple,consider the sum and we obtain an expression of Psi(1,1/8).

Raptor
  • 87