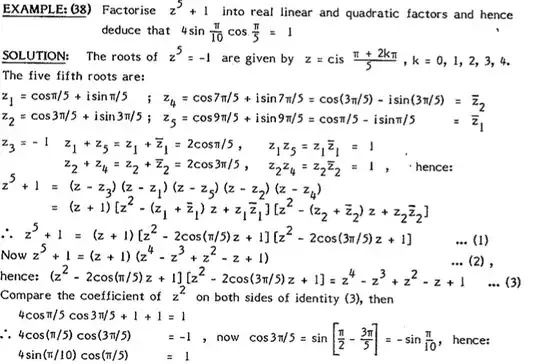
Factorising complex numbers how did he get from ....(1) to ....(2) how did he get factorisation $z^4-z^3+z^2-z+1$ from trig factorsiation

Factorising complex numbers how did he get from ....(1) to ....(2) how did he get factorisation $z^4-z^3+z^2-z+1$ from trig factorsiation
