Question

My thought:
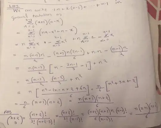
As far as the given equality is concerned, I can prove that the relation is true by calculating some general mathematics proving by L.H.S = R.H.S method(given in the picture below)

But I am curious if there is any specific formula of combinatorics which can fetch this equality.(without using this general LHS-RHS method)
Please help me into this.