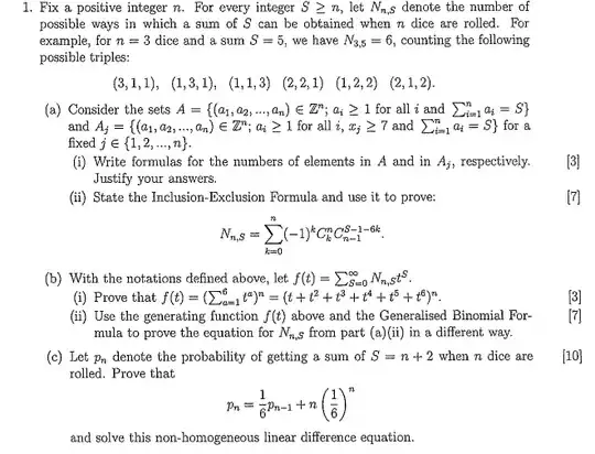
I have been working on this problem for the past 3 days and I am not having a lot of luck with it. I posted part of a) here already and I got some very useful advice. I am sitting a test in this tomorrow and any help whatsoever would be greatly appreciated as I can't make heads or tails of it.
For 1a) I let the set $A= \binom{S-1}{n-1}$ and thanks to a kind user yesterday understand how the set $Aj = \binom{S-1-6}{n-1}$. Using the IE formula proved trickier than I thought.
I set $N_{n,S}= \sum A - \sum Aj$
and I know to use the inclusion exclusion I need to start adding the individual sums to $S$ and subtracting the intersections of $2$ and add $3$ etc but I'm just not sure how to apply that logically here?
b) For this part here I don't even know where to start. I used $ S_6 $ inside the bracket and got $\sum_{a=1}^{6} t^{a} = \frac{t(1-t^{6})}{1-t}$ but I have no idea how to use this to prove b. I also tried to differentiate it and that didn't work either. Because of this, I think proving the generalised binomial formula a different way will be very difficult. Any help would be greatly appreciated, I am sitting a repeat college exam in this tomorrow and not dropping out would be nice!
