Prove the equality $$\sum_{n=0}^\infty\frac{(-1)^n}{a+nb}=\int_{0}^1\frac {t^{a-1}}{1+t^p}dt$$
I saw a similar problem (the case where $a=1$) with a solution which I thought it could help but what I don't understand is how they found the integral.
Prove the equality $$\sum_{n=0}^\infty\frac{(-1)^n}{a+nb}=\int_{0}^1\frac {t^{a-1}}{1+t^p}dt$$
I saw a similar problem (the case where $a=1$) with a solution which I thought it could help but what I don't understand is how they found the integral.
Following the same approach, a similar equality holds: $$\sum_{n=0}^\infty\frac{(-1)^n}{a+nb}=\int_{0}^1\frac {t^{a-1}}{1+t^b}dt$$ where $a$ and $b$ are positive numbers.
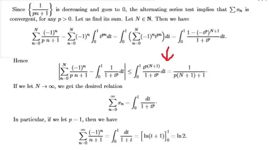
We have that $$\sum_{n=0}^N\frac{(-1)^n}{a+nb}=\sum_{n=0}^N(-1)^n\int_{0}^1t^{a-1+nb}dt=\int_{0}^1t^{a-1}\sum_{n=0}^N(-t^{b})^ndt=\int_{0}^1t^{a-1}\frac{1-(-t^{b})^{N+1}}{1+t^b}dt.$$ Then $$\left|\sum_{n=0}^N\frac{(-1)^n}{a+nb}-\int_{0}^1\frac{t^{a-1}}{1+t^b}dt\right|= \int_{0}^1\frac{t^{(N+1)b+a-1}}{1+t^b}dt\leq \int_{0}^1 t^{(N+1)b+a-1}dt =\frac{1}{(N+1)b+a}$$ which goes to zero as $N$ goes to infinity (note that the $=$ pointed by the red arrow should be replaced by $\leq$).
In order to evaluate the integral see The integral $\ J(m,n):=\int_0^1 \frac{x^m}{x^n+1}dx$ and we may conclude that $$\sum_{n=0}^{\infty}\frac{(-1)^n}{a+nb}=\frac{\psi\left(\frac{a+b}{2b}\right)-\psi\left(\frac{a}{2b} \right)}{2b}.$$