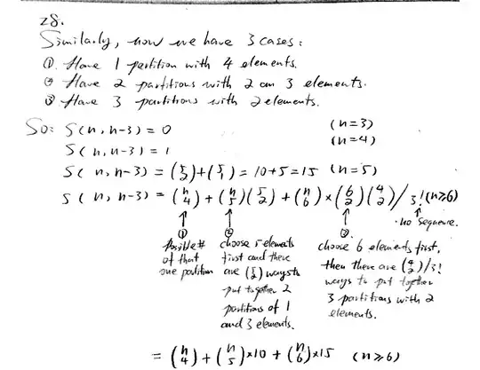
I'm trying to find the Stirling number $S(n, n-3)$ for $n$ $\ge$ $0$.
(the number of ways to place $n$ distinct objects, into $n-3$ identical boxes)
Obviously the first option is choosing the first box to contain a set of $4$ elements while the rest are singletons.
Giving : ${n \choose4}$
But after this I'm stuck.
The other options of picking are:
- 3 elements in the first box, 2 in the second while the rest are singletons
- 2 elements in the first box, 2 in the second and, 2 in the third, rest singletons.
For the second one, my best guess would be $\frac{1}{6}{n\choose2}{n-2\choose2}{n-4\choose2}$.
Any help on 1. and 2.?
