Can some explain how the highlighted implication is so obvious i cant seem to get there from previous step
Asked
Active
Viewed 102 times
0
-
Related: https://math.stackexchange.com/questions/2288249/prove-that-the-expression-is-a-perfect-square – Joffan Jun 20 '18 at 22:50
1 Answers
2
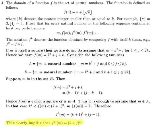
The first part of the proof reduces to the case where: $$ m=k^2+j, $$ and $$ f^2(m)=(k+1)^2+(j-1). $$
To make sense of the last statement, let's look at a few cases:
When $j=1$, then $f^2(m)=(k+1)^2$, which is a square.
When $j=2$, then $f^4(m)=f^2(f^2(m))$. In this case, $f^2(m)$ is of the same form as $m$ (replacing $k$ by $k+1$ and replacing $j$ by $j-1$). Therefore, $$ f^4(m)=f^2((k+1)^2+(j-1))=((k+1)+1)^2+((j-1)-1)=(k+2)^2. $$
In general, $f^2(m)$ is of the same form as $m$, but with $j$ smaller by $1$. By applying $f^2$ $j$ times, each time the extra term (the $j$ term) reduces by $1$ until the remainder is $0$ and we have a square.
Michael Burr
- 32,867
