For university I have to construct equivalent Mealy and Moore machines that solve certain problems. But I am confused, as my Moore and Mealy machines turn out to have exactly the same nodes, just with different labels.
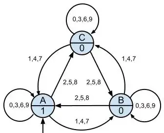
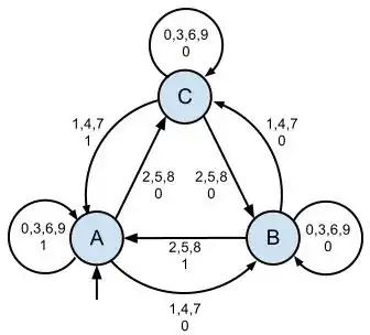
Example
- Input alphabet: {0, 1, ..., 9}
- Output alphabet: {0, 1}
- Function: Output 1 if the current number is divisible by 3, else output 0.
Moore

Mealy

You see, all I did for creating the Mealy machine was moving the output from the nodes to the connections. Which would make it quite trivial to convert an arbitary Moore machine to a Mealy machine.
Possible sources of my confusion:
- My understanding of the differences between the two types is fundamentally flawed.
- The conversion Moore => Mealy is in fact trivial.
- This example is a special case where the Mealy and Moore machines look the same.
- There is a simpler Mealy machine than the one I built here.
- My Moore machine is not a valid Moore machine. / My Mealy machine is not a valid Mealy machine. (see 4)
I tried to start from scratch building the Mealy machine, but as I found Moore much easier to build I am always biased towards the Moore solution.
627outputs101, as6 % 3 = 0,62 % 3 = 2and627 % 3 = 0(% is the modulo operator). The modulos are simply added for each new digit in the input stream. – Lucius Jan 02 '13 at 00:44