Problem from Calculus with Analytic Geometry 2nd ed. from Simmons, page 87/21(c).
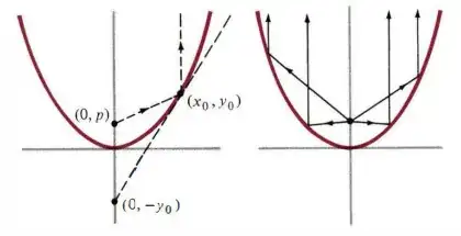
Let $p$ be a positive constant and consider the parabola $x^2 = 4py$ with vertex at the origin and focus at the point $(0, p)$. Let $(x_0, y_0)$ be a point on this parabola other than the vertex. Assume we've proved
- tangent at $(x_0, y_0)$ has $y$-intercept $(0, -y_0)$
- triangle with vertices $(x_0, y_0), (0, -y_0), (0, p)$ is isosceles.
Now suppose that a source of light is placed at the focus of a parabola, and assume that each ray of light leaving the focus is reflected off the parabola in such a way that it makes equal angles with the tangent line at the point of reflection (the angle of incidence equals the angle of reflection). Use (b) to show that after reflection each ray points vertically upward, parallel to the axis.
My analysis is here. But I don't know how to prove that angle $b = 90 \deg$:


