so I have this integral to try and evaluate
$$(*)=\int_0^{\infty} \ln\left|\frac{x+A}{x+B}\right|\frac{x}{e^{C x}\pm1}dx$$
So far, I have managed to evaluate a very similar integral
$$\int_0^{\infty} \ln\left|\frac{x+A}{x+B}\right|\frac{x}{e^{C x}}dx =-\frac{\partial }{\partial C}\int_0^{\infty} \ln\left|\frac{x+A}{x+B}\right|\frac{1}{e^{C x}}dx=\frac{1}{C^2}\ln\left(\frac{A}{B}\right) + \left(\frac{A e^{AC}}{C}-\frac{e^{AC}}{C^2}\right)\text{Ei}(-CA) + \left(\frac{Be^{BC}}{C}-\frac{e^{BC}}{C^2}\right)\text{Ei}(-BC)$$
But as soon as I introduce the $\pm 1$ in the denominator, the standard techniques I am trying are not working as effectively as in the simplified case. Does anyone know how to solve it? Already you can see the presence of the exponential integral function $\text{Ei}(x)$ so I'm sure this integral is going to you some non standard functions. Having thought about it, it greatly depends on the sign of $A,B$ and $C$. Singularities pop up at the origin also when the denominator has the minus sign.
Thanks for any help/guidance in advance.
Update: So after playing around a bit further with things I managed to massage the positive denominator expression into the following form:
$$(*) = \left[\log\left(\frac{x+A}{x+B}\right)\left\{\frac{-1}{C^2}\text{Li}_2(-e^{Cx}) -\frac{x\log (e^{Cx}+1)}{C}+\frac{1}{2}x^2\right\} -\left(\frac{1}{2}x + \frac{B^2 \log(x+B)-A^2\log(x+A)}{2}\right)\right]^{\infty}_0 $$ $$ +\frac{(B-A)}{C^2}\int_0^\infty \left(\frac{\text{Li}_2(-e^{Cx})}{(x+A)(x+B)}+\frac{Cx \log(e^{Cx}+1)}{(x+A)(x+B)}\right) $$
$\text{Li}_2(x)$ being the Dilogarithm. A little unsure of how to deal with the final two integrals.
Update: Perhaps it is useful to use the expansion of the Dilogarithm for $x\leq -1$ as found here: $$\text{Li}_2(x) = -\frac{\pi^2}{6}-\frac{1}{2}\log(-x)^2-\sum_{k=1}^\infty \frac{1}{k^2 x^k} $$
Update: Ok, so I've been playing around with it for a while, and this seems to be the final expression:
\begin{equation} \begin{aligned} &\log\left(\frac{x+A}{x+B}\right)\left[\frac{-1}{C^2}\text{Li}_2(-e^{Cx})-\frac{x\log(e^{Cx +1})}{C} + \frac{x^2}{2}\right]^\infty_0 + \frac{(B-A)}{2}\left[x+ \frac{B^2 \log(x+B)-A^2\log(x+A)}{(A-B)}\right]^\infty_0 \\ &+ \left.\frac{(B-A)}{C^2}\left(\frac{-\pi^2}{6}\right) \frac{1}{(A-B)}\log\left(\frac{x+B}{x+A}\right)\right|^\infty_0 \\ &-\frac{(B-A)}{2C^2}\left[-Cx\left\{C(A+2x) - 2 \log(e^{Cx})\right\} + \log{(x+A)}\left[\log (e^{Cx})-C(x+A)\right]^2+\frac{C^2 x^2}{2}\right]^\infty_0\\ &-\frac{(B-A)}{C^2}\sum_{k=1}^\infty \frac{1}{k^2}\left[\frac{e^{BCk}\text{Ei}(-Ck(x+B))-e^{ACk}\text{Ei}(-Ck(x+A))}{A-B}\right]^\infty_0 \end{aligned} \end{equation}
Provided the previous update was right, and human error is not involved! Now it is just a matter of trying to simplify and evaluate this beast, and rerun with the negative denominator...
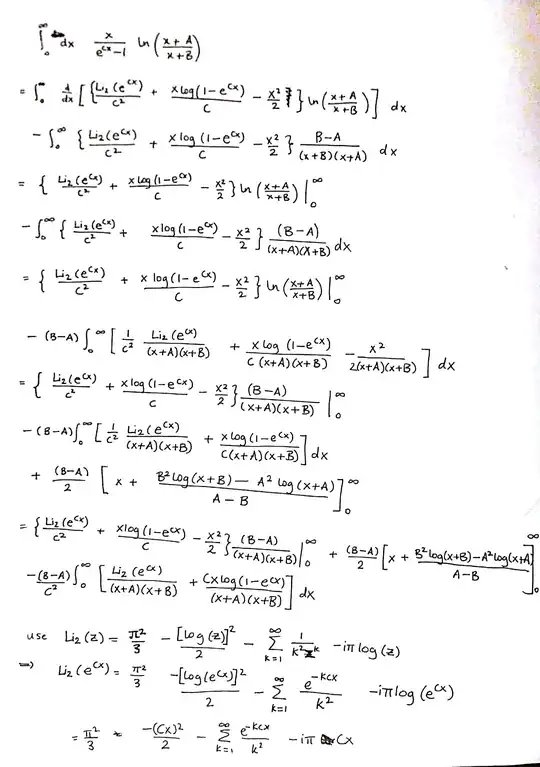
Update: So I ran the calculation with the negative denominator, and used the expansion as explained in the link above, and I've stumbled across a red flag. If anyone is able to explain it I'd be really grateful!
\begin{equation} \begin{aligned}(*) =& \left.\left\{\frac{\text{Li}_2(e^{Cx}}{C^2} + \frac{x\log(1-e^{Cx})}{C}-\frac{x^2}{2}\right\}\frac{B-A}{(x+A)(x+B)}\right|^\infty_0 + 2\frac{B-A}{2}\left[x+ \frac{B^2 \log(x+B) - A^2\log(x+A)}{A-B}\right]^\infty_0 \\ &- \left.\frac{B-A}{2}\left(\frac{\pi^2}{3(A-B)}\right)\log\left(\frac{x+B}{x+A}\right)\right|^\infty_0 + \frac{B-A}{C^2}\sum_{k=1}^{\infty}\frac{1}{k^2}\left[\frac{e^{BCk}\text{Ei}(-Ck(x+B)) - e^{ACk}\text{Ei}(-Ck(x+A))}{A-B}\right]^{\infty}_0\\ &+\frac{i\pi (B-A)}{C}\left[\frac{A\log(x+A)-B\log(x+B)}{A-B}\right]^\infty_0 \end{aligned} \end{equation}
The potential red herring is the imaginary term! The integral should be real (considering all the functions are, though I can imagine convergence issues from the denominator and logarithm), so I guess I haven't correctly used the absolute value of the logarithm correctly: I'm attaching hand working if someone can spot the mistake, or justify why there should be such an imaginary term; I'm attaching the working too.

Integrate[Log[(x + a)/(x + b)] x/(Exp[c x + 1]), {x, 0, \[Infinity]}, Assumptions -> {a > 0, b > 0, c > 0}]results in $\frac{\log \left(\frac{a}{b}\right)+(a c-1) e^{a c} \text{Ei}(-a c)-(b c-1) e^{b c} \text{Ei}(-b c)}{e c^2}$ where $\text{Ei}$ is the exponential integral function. – JimB Sep 02 '23 at 04:00