So in Euler's solution of the Basel problem he takes $\sin x= x\left(1-\frac{x^2}{\pi^2}\right)\left(1-\frac{x^2}{4\pi^2}\right)\cdots$
well, i was playing around with it and put $ x=\frac{\pi}{2}$
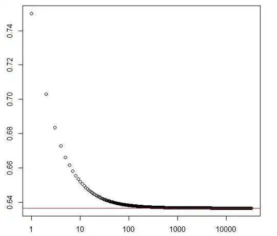
After manipulating quite a bit, $$\frac{2}{\pi}=\left(1-\frac{1}{2^2}\right)\left(1-\frac{1}{(2*2)^2}\right)\cdots\left(1-\frac{1}{(2n)^2}\right)\cdots$$ after simplifying a bit$$\frac{2}{\pi}=\left(\frac{3}{4}\right)\left(\frac{15}{16}\right)\left(\frac{35}{36}\right)\left(\frac{99}{100}\right)\cdots$$
I tried evaluating LHS by hand, and the partial products slowly do decrease towards RHS, and we know that they will not decrease forever because $$\lim_{n\to\infty} \frac{n^2-1}{n^2}=1$$ so can anyone help by writing a program which can do partial sum up to high values of n and tell me if its true. PS.I am in 10th standard do if im wrong anywhere please dont explain in too complicated mathematics. thanks
