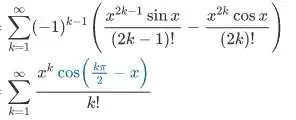
I was going through a question's solution, where they have used the above identity. I have tried to break my head over how the difference of the two terms got nicely converted to a simple cosine; but I can't seem to understand how the author of the solution did it.
I have tried looking for the Taylor Expansion of cosx in the difference, but in vain.
I also tried to factor out k! from the denominator, but it left me with a messier expression than before. (Of course, it'd be the multiplication of natural numbers from k+1 to 2k-1 or 2k)
Could someone please help me with this algebraic/trigonometric manipulation that the write of the solution has done? A detailed explanation would be great. Thanks.
