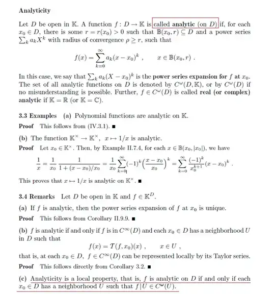
In a famous textbook, Amann's Analysis I, the author introduce the analyticity as the below picture. Notice that the author defined this terminology with respect to a set $D$, rather than a point $c$. Actually, there is no a definition for being able to say something like "a function $f$ is analytic at a point $c$" in this book.

And then, in Remarks (c), the author said that "analyticity" is a local property; that is, for $f:E\to\Bbb R$, if ($\forall x\in E,~f$ is analytic on a neighborhood of $x$), then $f$ is analytic on the whole domain $E$. Let's stop here, and look at how the same thing is discussed in Terrence Tao's Analysis I:

The difference is that Tao first defined what is called analytic at a point $c$, then simply extend to what is called analytic on a set $E$, which is more straightforward and intuitive. Actually, Amann didn't really get rid of defining the "one point" version. Look closer at Amann's definition, his definition is essentially equivalent to say $f$ is called analytic on $D$ if for each $x_o\in D$, $f$ is "somewhat analytic at $x_0$", the remaing all words is his original definition that I omitted is just the definition of "$f$ is somewhat analytic at $x_0$". So I think the way he write is quite zigzag and unnatural, if not silly. Why not give the version of one-point analytic first? On the other hand, if he had stated the "one point" definition first, then "set version", then his Remark (c) might been at least quite easy enough, if not too trivial. Am I correct? Or is there other reason that he chose so?