Let $f:[a,b]\to\Bbb R$. These two Riemann integrability criterion are equivalent:
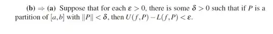
$\forall \epsilon>0,~\exists \delta >0$, $\forall P$: partition of $[a,b]$, $\forall T$: sample points of $P$, ($\lVert P\rVert<\delta\Rightarrow S(f,P,T)<\epsilon$).
$\forall \epsilon >0,~\exists P$: partition of $[a,b]$ such that $U(f,P)-L(f,P)<\epsilon$.
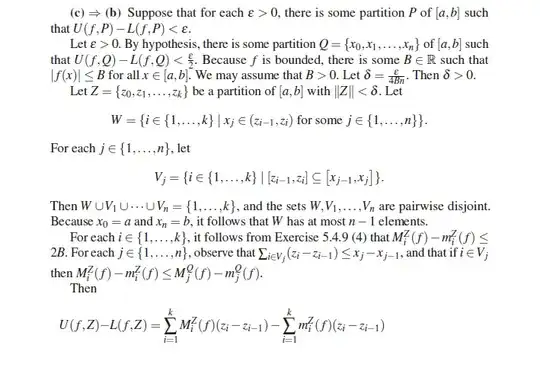
I can prove $1.\Rightarrow 2.$ And I also have the reference of the proof of converse direction $2.\Rightarrow 1.$ However, the proof of it seems too complicated, and not straightforward to me. Though I can finally understand it by reading it patiently, I'm not sure it is very pedagogical. Thus I want to see if there're another proof of $2.\Rightarrow 1.$
Update: My reference. (From Ethan D. Bloch "The Real Numbers and Real Analysis") The author first proved (a)$\Rightarrow$(b), then (b)$\Rightarrow$(a). Then (b)$\Rightarrow$(c), which is trivial. Then (c)$\Rightarrow $(b).




