This is my work so far.
How can I isolate the $(a^2-b^2)$?
I am not asking for a full solution, just a hint and next step.
All done! Thanks Michael.

This is my work so far.
How can I isolate the $(a^2-b^2)$?
I am not asking for a full solution, just a hint and next step.
All done! Thanks Michael.

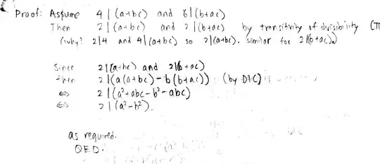
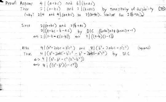
The hint: $$a(a+bc)-b(b+ac)=a^2+abc-(b^2+abc)=a^2-b^2$$
$4|(a+bc)$ then $a+b c = 4k\to c=\dfrac{4 k-a}{b}$
$6|(b+ac)$ then $b+ac=6h$ plug $c$
$b + a \,\dfrac{4 k-a}{b}=6h$
$b^2+4ak-a^2=6bh$
$a^2-b^2=2 (2 a k-3 b h)$
Which means that $2|(a^2-b^2)$
QED
Worth explicit emphasis: the key idea is to eliminate $\,c\,$ as below
$$\begin{align} 2 = d\:\!\mid \color{#0a0}{bc}&\ +\ \color{#0a0}a,\ \ \color{#c00}{ac\ +\ b}\\[.2em] \Rightarrow\ \bmod d\!:\:\!\ \color{#0a0}{bc} &\equiv\color{#0a0}{-a},\, \color{#c00}{ac\equiv -b}\\[.2em] {\rm so}\, \ \ \ {-}a\,(\color{#0a0}{bc} &\equiv \color{#0a0}{-a})\\ +\,\ \ \ \ \ b\,(\color{#c00}{ac}&\equiv \color{#c00}{-b})\,\ \ \textbf{[eliminates $c$]}\\[.2em] \hline \Rightarrow\ \ \qquad 0\,&\equiv\, a^2\!-b^2\ \end{align}\qquad\qquad$$
Or, $ $ without mod: $\, a(\color{#0a0}{bc\!+\!a})-b(\color{#c00}{ac\!+\!b}) = a^2\!-b^2\,$ is divisible by $\,d\,$ since the colored terms are.
The point of using congruence equation arithmetic (vs. divisibility relation calculus) is that it transforms the problem into equational (vs. relational) calculations, where we have better intuition (e.g. elimination taught in linear algebra). Though the difference may seem minor here, exploiting well-known linear algebra methods will often greatly simplify matters for less trivial problems. For a less trivial example see here where we use Cramer's rule for elimination.
Hint: consider what happens to the parity of the other numbers when $a$ is odd or even.