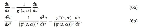
I am reading this paper where it is given
where $x = g(s,\alpha)$ and $u$ is a function of $x$.
The above expression is for a given $\alpha$.
The first equation is straight forward from chain rule. However, I am not able to obtain the second equation.
When I apply chain rule, this is what I get
$$\frac{d^2u}{ds^2} = \frac{d}{ds}\Big(\frac{du}{ds}\Big) = \frac{d}{dx}\Big(\frac{du}{dx}\ g'\Big)\frac{dx}{ds}$$ $$\frac{d^2u}{ds^2} = \bigg[g' \frac{d}{dx}\Big(\frac{du}{dx}\Big) + \frac{d}{dx}\Big(\frac{dx}{ds}\Big) \frac{du}{dx}\bigg]g'$$
where $g' = \frac{dx}{ds}$
How do I go further to arrive at the above expression?
