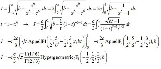
I have to evaluate following integral.
$$ \int_{-c}^c \sqrt{b+\frac{c^6}{x^6-c^6}}dx$$
I know that final answer includes gamma function entries like ($\frac{\Gamma(1/6)\Gamma(1/2)}{\Gamma(2/3)})$.
But, I'm having difficulty figuring out how to integrate this. Any help will be highly appreciated.
Thank You,
