I'm watching Lecture 3 in MIT single variable calculus. https://www.youtube.com/watch?v=kCPVBl953eY&list=PL590CCC2BC5AF3BC1&index=3
And at one point the instructor does the following:
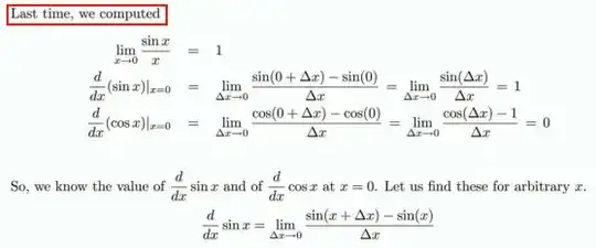
I was under the impression that when evaluating limits we need to avoid having $0/0$ in the denominator. However, in the notes here, it says that
$\frac{\cos\Delta x - 1 }{\Delta x} \to 0$
How does this work?



