Note: This is not a duplicate as I am asking for a proof, not a criteria, and this is a specific proof, not just any proof – please treat like any other question on a specific math problem. Please do not close. thanks!
I am having trouble proving the above as I don't know how to express the various cases/outcomes of N when 11 is added to M. Take for example N=9759, then M=9-7+5-9=0
However, M+11 could give many different numbers, depending on where and what integers are added.
So for M to become 0+11=11 in the above example,
(i) N=9757946 is one possibility
(ii) N=9469757 is another possibility
Although they are essentially the same, mathematically they are different (I think?) because:
(i) M=9-7+5-7+9-4+6
(ii) M=9-4+6 -9+7-5+7
so the (-1)^n coefficient changes for the digits 9, 7, 5, 7
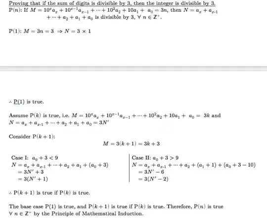
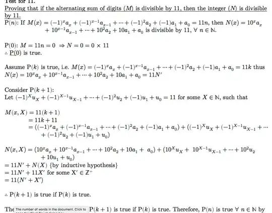
These proofs for divisibility by 3 may help:



