While evaluating the integral $$ I_1=\int_{0}^\infty\frac{\sin\pi x~dx}{x\prod\limits_{k=1}^\infty\left(1-\frac{x^3}{k^3}\right)},\tag{1} $$ I came to this integral of elementary function $$ I_2=\int_0^\infty \frac{dt}{\left(i t\sqrt{3}+\ln(2\sinh t)\right)^2}.\tag{2} $$ In fact $I_2$ is real and $$ I_1=-2\pi I_2. $$ These formulas imply the closed form $$ \int_{0}^{\infty}\frac{t\ln\left(\,2\sinh\left(\,t\,\right)\,\right)}{\left[\,3t^{2} + \ln^{2}\left(\,2\sinh\left(\,t\,\right)\,\right)\right]^{\,2}}\,{d}t = 0,\tag{3} $$ or alternatively $$ \text{Im}\int_0^\infty \frac{dt}{\left(i t\sqrt{3}+\ln(2\sinh t)\right)^2}=0. $$
Brief outline of proof is as follows. Write the infinite product in terms of Gamma functions, apply reflection formula for Gamma function to get rid of $\sin\pi x$, then use integral representation for Beta function and change the order of integration. Then one can integrate over $x$ to obtain the desired formula. It seems that this should have a simple proof, but I don't see it.
Q: Can anybody provide a direct proof ?.
Such a direct proof may shed light on possible routes to calculation or simplification of $(2)$.
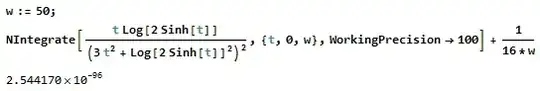
Here is a numerical demonstration using Mathematica that the integral under consideration is $0$ up to at least $100$ digits:

The integrand for $t>w$ has been replaced by $\frac{1}{16t^2}$, resulting in the term $\frac{1}{16w}$.
$\displaystyle \int_0^{\text{arcsinh}\left(\frac{1}{2}\right)} \frac{t\ln(2\sinh t)}{\left(3t^2+\ln^2(2\sinh t)\right)^2}~dt=-\int_{\text{arcsinh}\left(\frac{1}{2}\right)}^\infty \frac{t\ln(2\sinh t)}{\left(3t^2+\ln^2(2\sinh t)\right)^2}~dt$ – FDP Apr 14 '18 at 18:18