I'm having trouble proving the following conjecture in $(1.)$, via Fourier methods, my intial attack can be seen in $(2)$
$(1.)$
$$\sin(x) + \sin(2x) + \sin(3x)+ \cdots +\sin(nx) = \frac{cos(1/2) - cos(n-1/2)}{2 \sin(1/2)2}$$
$(2)$
On the RHS, side of our conjecture of $(1.)$, the following observations can be made due to applying the technique of Ceasro Summation, one can derive the Cesaro means from the RHS of $(2.1)$.
$$[S_{k} = \sin(x) + \sin(2x) + \sin(3x)+ \cdots + \sin (nx) = \sum_{n} \sin(n(x))\tag{2.1}]$$
$$[\sigma_{n} = \frac{\sin(x)) + \sin(2(x)) + \sin(3(x)) + \cdot \cdot \cdot + sin(n(x))_{n-1}}{N} \tag{2.2}]$$
$$[ \sin(x) + (1 - 1/k) \sin(2x) + \cdot \cdot \cdot + (1 - n/k) \sin(n(x)) + \cdot \cdot \cdot \frac{1}{k}\sin(n(x))_{k-1} \tag{2.3}]$$
One, can formally verify the observations made in $(2.2)-(2.3)$, by taking the $\lim_{n \rightarrow \infty}\sigma_{N}$, as follows in $(2.4)$
$$\lim_{n \rightarrow\infty} (\sin(x) + (1 - 1/k) \sin(2x) + \cdot \cdot \cdot + (1 - n/k) \sin(n(x)) + \cdot \cdot \cdot \frac{1}{k}\sin(n(x))_{k-1}) = S$$
Lemma:
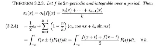
The specifics of my questions, lie on applying Theorem $(3.23)$ to the RHS side, of $(2.3)$ for the application of the theorem to be successful it would following from the RHS of $(1.)$ to be written as Fourier polynomials as follows:
$$F_{n}(x) = a_{o}+(a_{1}\cos(x) +b_{1}\sin(x))) + \cdot \cdot \cdot + (a_{n} \cos(n(x) + b_{n}\sin(n(x))$$
Is my approach on the right track any hints would be helpful.
