30

Let $X$ be a differentiable manifold. Let $\mathcal{O}_X$ be the sheaf of $\mathcal{C}^\infty$ functions on $X$. Since every stalk of $\mathcal{O}_X$ is a local ring, $(X, \mathcal{O}_X)$ is a locally ringed space. Let $Y$ be another differentiable manifold. Let $f\colon X \rightarrow Y$ be a differentiable map. Let $U$ be an open subset of $Y$. For $h \in \Gamma(\mathcal{O}_Y, U)$, $h\circ f \in \Gamma(\mathcal{O}_X, f^{-1}(U))$. Hence we get an $\mathbb{R}$-morphism $\Gamma(\mathcal{O}_Y, U) \rightarrow \Gamma(\mathcal{O}_X, f^{-1}(U))$ of $\mathbb{R}$-algebras. Hence we get a morphism $f^{\#} \colon \mathcal{O}_Y \rightarrow f_*(\mathcal{O}_X)$ of sheaves of $\mathbb{R}$-algebras. It is easy to see that $(f, f^{\#})$ is a morphism of locally ringed spaces.

Conversely suppose $(f, \psi)\colon X \rightarrow Y$ is a morphism of locally ringed spaces, where $X$ and $Y$ are differentiable manifolds and $\psi\colon \mathcal{O}_Y \rightarrow f_*(\mathcal{O}_X)$is a morphism of sheaves of $\mathbb{R}$-algebras. Is $f$ a differentiable map and $\psi = f^{\#}$?

Makoto Kato
  • 42,602
  • 2
    Yes. The point is that once you have a morphism of ringed spaces then you know that the map has an expression in local coordinates that is smooth/analytic/algebraic etc. as according to the nature of your structure sheaf. Brian Conrad has notes on the locally ringed space approach to differential geometry, if I recall correctly. – Zhen Lin Oct 30 '12 at 22:08
  • 2
    @ZhenLin: Could you provide a link to these notes (or notes [or even books] treating differential geometry also in the language of locally ringed spaces)? Unfortunately I can't find them. – Hanno Feb 21 '15 at 07:40
  • I misremembered. It was Keith Conrad, not Brian. See here. – Zhen Lin Feb 21 '15 at 07:57
  • 1
    @ZhenLin I'm very interested in such notes! I looked at the link you gave, and I didn't see anything on locally ringed spaces in there. Also, those notes are from Brian Conrad, not Keith. Did you maybe post the wrong link? – Eric Auld Apr 25 '16 at 18:00
  • Perhaps I mean here specifically. – Zhen Lin Apr 25 '16 at 18:52

2 Answers2

26

Yes: Let $(f,\psi):X\to Y$ be a morphism of locally ringed spaces, where $X$ and $Y$ are smooth manifolds with their sheaves of smooth functions. If $\psi:C^\infty_Y \to f_* C^\infty_X$ is a morphism of sheaves of $\mathbb R$-algebras, then $f$ is smooth and $\psi=f^\#$.

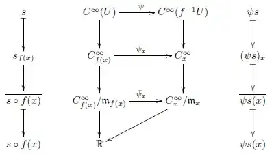
Proof. Let $s:U\to \mathbb R$ be a smooth function. The equation $\psi s= s\circ f$ follows from the commutativity of the diagram below. Notice the triangle commutes because there is a unique $\mathbb R$-algebra map $C^\infty_{f(x)}/{\frak m}_{f(x)}\cong \mathbb R \to \mathbb R$. It now follows that $f:X\to Y$ is smooth. Indeed, we know $s\circ f$ is smooth for all real valued functions $s$ on $Y$, and we may take $s$ to be the coordinate functions of charts on $Y$. QED.

enter image description here

  • 1
    Why is $s \circ f$ smooth here? We know that $s$ is smooth but we only know that $f$ is continuous, right? – HarshCurious Nov 12 '16 at 01:51
  • 2
    $s\circ f$ is smooth because, as I show above, it equals $\psi f$ (and $\psi$ is by assumption a map of sheaves of smooth functions). This observation (which holds for all smooth functions $s$ on open subsets of $Y$) implies that $f:X\to Y$, a function that a priori is only continuous, has to be smooth. – Lucas Braune Nov 12 '16 at 02:03
  • You mean $\psi s$, right? – HarshCurious Nov 12 '16 at 02:22
  • 1
    Sorry, I am writing from a phone. Yes, I that's what I mean. – Lucas Braune Nov 12 '16 at 02:29
  • Thanks for the swift reply. – HarshCurious Nov 12 '16 at 02:31
  • 2
    I think the assumption that the components of the morphisms are R-algebra homomorphisms is unnecessary. Any ring endomorphism of the real numbers preserves the ordering ($a\leq b\iff b-a=c^2\implies f(b)-f(a)=f(c)^2\iff f(a)\leq f(b)$) and so is the identity (the rationals are order-dense in the reals). – Vladimir Sotirov Mar 28 '22 at 17:43
  • @VladimirSotirov You are correct that we don’t need to assume $\psi$ gives us algebra homomorphisms, just ring homomorphisms, since $\leq$ is definable in terms of the ring operations. – Mark Saving Jul 16 '22 at 20:25
  • @VladimirSotirov Not every ring homomorphism between real algebras is real-linear (see this). Do the rings of smooth functions have some special property that allows to see that every morphism of (locally) ringed spaces between smooth manifolds is real-linear? – Elías Guisado Villalgordo Mar 21 '23 at 13:56
  • 1
    @ElíasGuisadoVillalgordo I claimed only that ring homomorphisms between the reals, not arbitrary real algebras, are real-linear. What's happening in general is that rings of real-valued functions on a set $X$ can be identified with subrings of $\prod_{x\in X}\mathbb R\cong[X,\mathbb R]$. The argument above shows that the component of a morphism $(f,\phi)$ of locally ringed spaces is the restriction of $f^\colon[Y,\mathbb R]\to[X,\mathbb R]$ to the subrings. But $f^$ is an $\matbb R$-algebra homomorphism, so likewise is its restriction to an $\mathbb R$-subalgebra. – Vladimir Sotirov Mar 21 '23 at 19:01
  • @VladimirSotirov $\def\sO{\mathcal{O}}$I think there is nothing in particular about $\mathbb{R}$, and that this works more generally. Let $k$ be a field. A space with functions is a pair $(X,\sO_X)$, where $X$ is a space and $\sO_X$ is a subsheaf of $k$-algebras of the sheaf of $k$-valued functions on $X$. A morphism of spaces with functions is a continuous map $f:X\to Y$ such that for all $V\subset Y$ open and all $\varphi\in\sO_Y(V)$, we have $\varphi\circ f|{f^{-1}(V)}\in\sO_X(f^{-1}(V))$. In particular, the induced map on sheaves $\sO_Y\to f*\sO_X$ is $k$-linear on sections. It happens – Elías Guisado Villalgordo Mar 22 '23 at 10:41
  • that any morphism of locally ringed spaces between spaces with functions that occur to be locally ringed must have a map on sheaves of the form $\varphi\mapsto \varphi\circ f|_{f^{-1}(V)}$ (essentially by Lucas Braune's argument.). In particular, it is a morphism of spaces with functions.

    So for example, we also have "every morphism of locally ringed spaces between complex manifolds is holomorphic and complex-linear on sections." (Also, conversely, every morphism of spaces with functions is a morphism of locally ringed spaces by this.)

    – Elías Guisado Villalgordo Mar 22 '23 at 10:52
  • @ElíasGuisadoVillalgordo A non-identity automorphism of a field $k$ is an automorphism of the locally ringed space (point,$k$) that is not $k$-linear. By definition any morphism between spaces with $k$-valued functions is a $k$-linear morphism between them as ringed spaces, and in fact as locally ringed spaces. Lucas shows the converse, i.e. that that any $k$-linear morphism arises from pre-composition. I point out his argument also works if we drop $k$-linearity but assume $k$ has non-identity automorphisms. The latter is special to $\mathbb R$. – Vladimir Sotirov Mar 22 '23 at 17:15
  • @VladimirSotirov I just understood what you meant by looking at the proof in Neeman's Algebraic and Analytic Geometry, chapter 2, section 3. I leave the reference here in case it's useful for anyone. – Elías Guisado Villalgordo Apr 13 '23 at 13:41
3

See Prop 4.18 of the great book Manifolds, sheaves, and cohomology by Torsten Wedhorn. This book treat manifolds as locally ringed spaces.

Z Wu
  • 1,721