$$\lim_{x \to y} \frac{\sin^2x-\sin^2y}{x^2-y^2}.$$ This is an indeterminate form, and $\sin^2y$ and $y^2$ are simply constants. Applying L'hospital's rule gives $\sin y/y$ which is incorrect. Where did I go wrong?
4 Answers
Let's write this as $$\lim_{x\to a}\frac{\sin^2 x-\sin^2 a}{x^2-a^2}$$ to remind ourselves that $y$ (now relabelled $a$) is a constant.
If we use L'Hospital, we get the limit as $$\frac{2\sin a\cos a}{2a}=\frac{\sin a\cos a}{a}$$ provided that $a\ne0$. If $a=0$, we have to use L'Hospital twice, and then we get the limit as $1$.
In any case we can easily avoid L'Hospital. The limit is $$\lim_{x\to a}\frac{\sin x-\sin a}{x-a} \lim_{x\to a}\frac{\sin x+\sin a}{x+a}.$$ When $a\ne0$ this is $$\cos a\ \frac{2\sin a}{2a}$$ and when $a=0$ it is $$\left(\lim_{x\to0}\frac{\sin x}{x}\right)^2=1^2.$$
- 158,341
The derivative of $\sin^2 x-\sin^2 y$ with respect to $x$ is $2\sin x\cos x$, so when I apply L'hospital to your limit I get
$$= \lim_{x\to y} \frac{2\sin x\cos x}{2x} = \frac{\sin y \cos y}{y}.$$
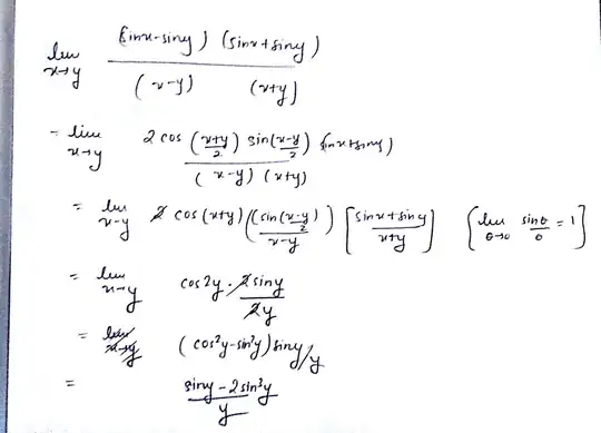
Using Prove $ \sin(A+B)\sin(A-B)=\sin^2A-\sin^2B $,
$$\lim_{x\to y}\dfrac{\sin^2x-\sin^2y}{x^2-y^2}=\lim_{x\to y}\dfrac{\sin(x-y)}{x-y}\cdot\lim_{x\to y}\dfrac{\sin(x+y)}{x+y}$$
- 274,582
first replace limit from x~y to x-y~0 then apply L'Hospital rule...you can also proceed like this

- 493