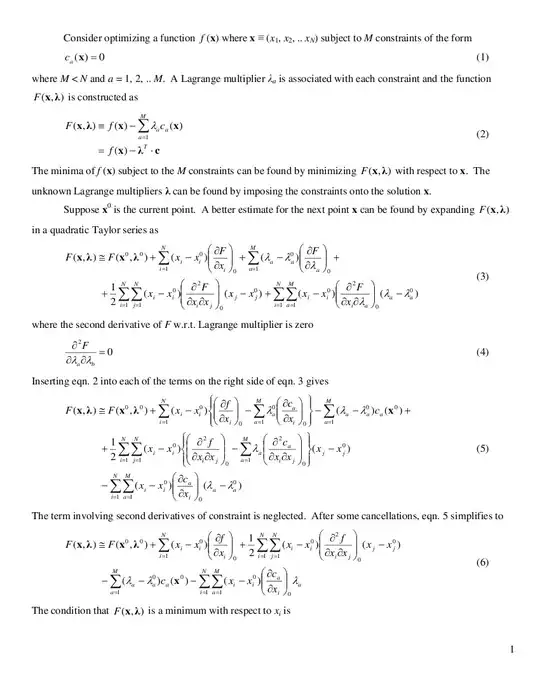
I am writing a program minimizing a real-valued non-linear function of around 90 real variables subject to around 30 non-linear constraints. I found handy explanation in CERN's Data Analysis BriefBook. I've implemented it and it works, but I am not able to derive how they obtained the equations at the bottom. Could anyone please explain how it can be achieved?
Copied from the link:
Trying to minimize $f(x_1,...,x_n)$ subject to $c_1(x_1,...,x_n) = ... = c_m(x_1,...,x_n) = 0$.
Reformulate as $$\partial F/\partial x_1 = \dots = \partial F/\partial x_n = \partial F/\partial\lambda_1 = \dots = \partial F/\partial\lambda_m = 0$$ for $$ F(x_1,\dots,x_n,\lambda_1,\dots,\lambda_m) = f(x_1,\dots,x_n) - \lambda^T c(x_1,\dots,x_n) $$
Using Lagrange multipliers $\lambda$ and Newton-Raphson, they arrive at (1): $$ A\Delta x - B^T\lambda = -a\\ B\Delta x = -c, $$ where $A$ is Hessian of $f$, $a = (\nabla f)^T$ is gradient of $f$ and $B=\nabla c$ is Jacobian of the constraints.
I can't seem to follow them. The way I understand it, they're applying Newton-Raphson to solve $\nabla F = 0$. I believe that $$ \nabla F = \left(a - B^T \lambda \atop -c \right) $$ Then, we need to take derivative of $\nabla F$ for Newton-Raphson. First off, it seems to me they're only taking the derivative w.r.t. $x$ and not to $\lambda$. Why is that?
Even so, this would lead to (1) if the derivative of $\nabla F$ was $\left(A \atop -B\right)$. However, while it's true that $\nabla a = A$ and $\nabla c = B$, I can't understand where the term $-B^T\lambda$ vanished to.
Many thanks to anyone who could shed some light on this.

