0

The following page is excerpted from Bernt Øksendal's Stochastic Differential Equations: An Introduction with Applications:

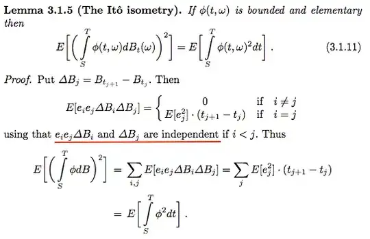
enter image description here enter image description here

In particular, I don't understand how the author concluded that the two indicated random variables are independent. Although $\Delta B_i$ and $\Delta B_j$ are independent, how does the independence still pass through when $\Delta B_i$ is multiplied by an arbitrary r.v. that is simply $F_{t_j}$-measurable?

For the case $i\ne j$ I can prove alternatively using the fact that $B_t$ is a martingale, and for the second, using $B_t^2-t$ is a martingale. But I just want to know where the (claimed) independence comes from, or is the statement simply false?

Vim
  • 13,640
  • Well, $e_i$, $e_j$ and $\Delta B_i$ are $F_{t_j}$-measurable and $\Delta B_j$ is independent from $F_{t_j}$. – Uskebasi Mar 19 '17 at 12:38
  • @QWERTZ so is there any obvious theorem to support your second claim? I know it should be intuitive, but I don't know how to prove it. – Vim Mar 19 '17 at 13:18
  • Yes, there is. I will post a proof of it within today (for me now is 3 pm) – Uskebasi Mar 19 '17 at 13:48
  • @QWERTZ thanks. I may give you feedback "tomorrow" morning, it's almost 1 am where I am. – Vim Mar 19 '17 at 13:59

2 Answers2

3

Let's start fixing some notations and terminology. Let $B=\{B_t\}_{t\in[0,\infty)}$ be a standard Brownian motion, $F_t^B:=\sigma(B_s,\ 0\leq s\leq t)$ be the sigma algebra generated by $\{B_s\}_{s\in[0,t]}$, and $Bor(\mathbb{R})$ be the collection of Borel subsets of $\mathbb{R}$. The family $\{F_t^B\}_{t\in[0,\infty)}$ is a filtration, called filtration associated to the Brownian motion. For every fixed $t\ge0$ a basis for the sigma algebra $F_t^B$ is given by the family of events $J^B_t:=\{\{B_{s_{1}}\in A_1,. . .,B_{s_{k}}\in A_k\},\ k\in\mathbb{N},\ s_i \in [0,t],\ A_i\in Bor(\mathbb{R})\}$ (with basis I mean this: given a set $E$, a non empty family $I\subset\mathscr{P}(E)$ is called basis for the sigma algebra generated by $I$, $\sigma(I)$, if it is closed under finite intersections. I don't know if it is a standard term). We want to prove that the property of independent increments of the brownian motion implies $\forall \ 0\leq s<t$ the random variable $(B_t-B_s)$ is independent from the sigma algebra $F_s^B$ (also the other way around is true). It's enough to prove independece on the basis $J_s^B$ of $F_s^B$ (as far as I know this restriction is not trivial and it is a consequence of the Dynkin's theorem (https://en.wikipedia.org/wiki/Dynkin_system)). Keeping in mind the form of $J_s^B$ we have to prove that for every $k\in\mathbb{N}$, for every choice of $A_1,...,A_k,C\in Bor(\mathbb{R})$ and $0\leq s_1<s_2<...<s_k\leq s$ the following equality holds $$P(\{B_{s_{1}}\in A_1,. . .,B_{s_{k}}\in A_k\}\cap\{B_t-B_s\in C\})=\\P(\{B_{s_{1}}\in A_1,. . .,B_{s_{k}}\in A_k\})\cdot P(\{B_t-B_s\in C\}).$$ We define $W:=(B_{s_{1}},...,B_{s_{k}})$, $\ $ $A:=A_1\times...\times A_k\subset\mathbb{R}^k$ and $Y:=(B_{s_{1}},B_{s_{2}}-B_{s_{1}},...,B_{s_{k}}-B_{s_{k-1}})$; we observe that $Y$ is obtained by $W$ by a linear invertible map, say $T$. Now it is possible to rewrite the event $$\{B_{s_{1}}\in A_1,. . .,B_{s_{k}}\in A_k\}=\{W\in A\}=\{Y\in TA\}=\{(B_{s_{1}},B_{s_{2}}-B_{s_{1}},...,B_{s_{k}}-B_{s_{k-1}})\in TA\}.$$ To conclude we observe that by assumption $B_t-B_s$ is independent of $B_{s_{i}}-B_{s_{i-1}}$, $i=2,..k$, thus $$P(\{B_{s_{1}}\in A_1,. . .,B_{s_{k}}\in A_k\}\cap\{B_t-B_s\in C\})=\\P(\{(B_{s_{1}},B_{s_{2}}-B_{s_{1}},...,B_{s_{k}}-B_{s_{k-1}})\in TA\}\cap\{B_t-B_s\in C\})=\\ P(\{(B_{s_{1}},B_{s_{2}}-B_{s_{1}},...,B_{s_{k}}-B_{s_{k-1}})\in TA\})\cdot P(\{B_t-B_s\in C\})=\\P(\{B_{s_{1}}\in A_1,. . .,B_{s_{k}}\in A_k\})\cdot P(\{B_t-B_s\in C\}).$$ The filtration you refer to in your post is exactly $\{F_t^B\}_{t\in[0,\infty)}$ so you have the result.

Uskebasi
  • 1,523
  • Wow nice. Actually I have done something similar to the linear transformation before to prove a certain result, but I failed to associate it to this case. – Vim Mar 19 '17 at 23:40
  • The same idea (linear transformation) is used to prove that $B$ is independent of $F_0^B$, which is one of the results you need in order to prove Bluementhal $0-1$ law (for the Brownian motion). – Uskebasi Mar 20 '17 at 10:20
2

The author has actually given a very simple argument in his book.

Note that $e_ie_j\Delta B_i$ is $\mathcal{F}_{t_j}$-measurable since $i<j$. It is written in the previous chapter (Chapter 2) the following in the section of Brownian motions:

enter image description here