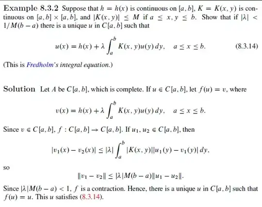
I have been through the contraction mapping theorem, however I have been having trouble understanding it. After the proof I tried to go through the following example but I cannot even understand the notation such as $u(x)$. I would be thankful if someone could give me an insight. Thanks for reading.
- 3,891
1 Answers
You have probably heard about Banach fixed point theorem. Please read it first, as there are some detail to it. It approximately says that if we have a function $f(u)=v$, that is contracting, which means
$\exists \hspace{0.5cm}0<q<1\hspace{0.5cm}S.T \hspace{0.5cm}||v_1-v_2||=||f(u_1)-f(u_1)||\leq q \times||u_1-u_1|| \hspace{0.5cm} \forall u_1,u_2 \in D$
then the function $f(u)=v$ has a unique fixed point in the domain $D$. Call the fixed point $w(x)$. Then it should satisfy $f(w)=w$.
So, we need to show that the function $f(u)=h(x)+\lambda\int_{a}^{b} K(x,y) u(y) dy$ is contracting. If we succeed and find a $0<q<1$ for it, then we can conclude that it has a unique fixed point.
Take arbitrary functions $u_1$ and $u_2$. The corresponding outputs are computed and we take their difference to get
$$f(u_1)-f(u_2)=v_1-v_2=\lambda \int_{a}^{b} K(x,y) (u_1(y)-u_2(y)) dy$$
Then, we take norm of both sides. The supp norm is an option. I am going to use the notation $||u||$ for it.
$$||v_1-v_2||=|\lambda| \bigg(||\int_{a}^{b} K(x,y) (u_1(y)-u_2(y)) dy|| \bigg)$$
Now, we should use the given information to make an inequality. Firstly, $|K(x,y)|\leq M$
$$||v_1-v_2||\leq \lambda M \bigg( ||\int_{a}^{b} (u_1(y)-u_2(y)) dy || \bigg)$$
At this step, triangle inequality of a norm comes to rescue.
$$||v_1-v_2||\leq \lambda M \bigg( \int_{a}^{b} ||(u_1(y)-u_2(y))|| dy \bigg)$$
Norm is a complex number and can be taken out of the integral and the remaining integral is the integral of a constant function, over $[a,b]$.
$$||v_1-v_2||\leq \lambda M (b-a) ||(u_1(y)-u_2(y))|| $$
$\lambda M (b-a)$ is supposed to serve as $q$, if it satisfies the mentioned condition in the question.
So, we proved we have a contraction mapping and you can conclude it has a fixed point, that is called $u(x)$ in the question.
- 2,530
-
Thanks, only one question: How did you take the integral sign out in the last step? I have never heard of Banach fixed point theorem, is it the contraction mapping theorem? If it is not, could you please provide me a link to the Banach fixed point theorem? – Pedro Gomes Mar 06 '17 at 18:55
-
Search for the theorem on Wikipedia, with the name "Banach fixed-point theorem". In the last step, as I have mentioned, the norm is a number. So, it can be taken off the integral. Then the integral is $\int_{a}^{b}dy=b-a$. – Med Mar 06 '17 at 19:00
-
Right. Thank you! I have searched the theorem and apparently Banach fixed-point theorem is the same as Contraction Mapping theorem, only the names can be interchanged. Is it true that a function defined on the same metric space $f:(A,\rho)\to(A,\rho)$ is uniformly continuous? – Pedro Gomes Mar 06 '17 at 19:06
-
1I do not think it is generally true. Just take the function $y=x^2$ as an example. You can have a look at this question http://math.stackexchange.com/questions/1373053/why-is-fx-x2-uniformly-continuous-on-0-1-but-not-mathbbr – Med Mar 06 '17 at 20:02
-
Just a small comment: You probably want to invoke the triangle inequality for integrals before factoring out $|K|$; otherwise you might have, for instance, $u_{2} = 0$, with $K(x, y) = u_{1}(y)$ for all $(x, y)$, $\int u_{1} = 0$, and $|u_{1}| > 0$, yielding a questionable deduction between your second and third displayed integrals. (Your fourth displayed integral, the one that matters, is still OK, of course.) – Andrew D. Hwang Mar 06 '17 at 20:51