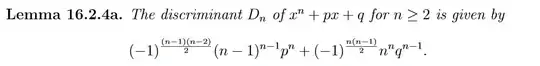
Here is a proof http://www.csie.ntu.edu.tw/~b01902113/artin-sols.pdf and the proof is on page 84. I am searching for help to prove lemma 16.2.4a which is:

I am able to follow the prove before the author conclude that $r(n)=s(n−1)$. I am not able to derive $r(n)=s(n-1)$ from the formula above.
And after this, I cannot follow the argument in this whole part
I cannot understand what $g(n)$ actually is andhow can we get $(-1)^{\frac{n(n-1)}{2}}\prod_{i=1}^{n}\prod_{i \ne j}(\xi_{i}-\xi_{j})$
I know maybe there are just some algebraic manipulations but I am not able to get them so far.Could someone please explain? Thanks in advance!