I have a question concerning the proof of the following theorem:
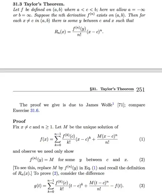
I don't see how they can state that we're looking for a unique solution $M$; $$ f(x)=\sum_{k=0}^{n-1}\frac{f^{(k)}(c)}{k!}(x-c)^k+\frac{M(x-c)^n}{n!}. $$ How do we know the solution is unique? How do we know it exists at all? I'm a little bit confused by this. Why don't they word it like this: we are looking for a solution $M$, and we're hoping that it exists and is unique.
