according to "How else can we show that"
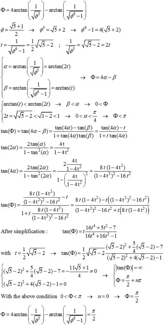
Take $f(x)=4\arctan\left({1\over \sqrt{x^3}}\right)-\arctan\left({1\over \sqrt{x^6-1}}\right)$
now you can show $f(1.618)=\dfrac{\pi}{2}$

This question is very interesting to me .I was working on $\phi $ properties ,like $\phi^2=\phi+1 \to \phi^3=\phi^2+\phi$ or $\psi=\dfrac{1}{\phi}$
we can see this $4\arctan\left({1\over \sqrt{\phi^3}}\right)-\arctan\left({1\over \sqrt{\phi^6-1}}\right)={\pi\over 2}$ as $4a-b=\dfrac{\pi}{2} $ so $4a=\dfrac{\pi}{2} +b \to \tan(4a)=-\cot(b)$ (if you prove this,prove the first relation)
$$\phi=\dfrac{1+\sqrt5}{2} \\
\phi^3=\phi^2+\phi=(\dfrac{1+\sqrt5}{2})^2+(\dfrac{1+\sqrt5}{2})=\dfrac{1+5+2\sqrt5+2+2\sqrt5}{4}=\dfrac{8+4\sqrt5}{4}=2+\sqrt5 \to \\
\phi^6-1=(2+\sqrt5)^2-1=4+5+4\sqrt5-1=8+4\sqrt5$$ now redude to
$$4\arctan\left({1\over \sqrt{2+\sqrt5}}\right)-\arctan\left({1\over \sqrt{8+4\sqrt5}}\right)=\dfrac{\pi}{2} \to 4a-b=\dfrac{\pi}{2} \to
\tan(4a)= ? -\cot(b)$$
$$\tan a=\dfrac{1}{\sqrt{2+\sqrt5}} \to
tan 2a=\dfrac{2\tan a}{1-\tan^2a}=\\\frac{2\dfrac{1}{\sqrt{2+\sqrt5}}}{1-(\dfrac{1}{\sqrt{2+\sqrt5}})^2}=\dfrac{2\sqrt{2+\sqrt5}}{1+\sqrt5} \\
\tan(4a)=\dfrac{2\tan 2a}{1-\tan^22a}=\\\dfrac{2\dfrac{2\sqrt{2+\sqrt5}}{1+\sqrt5}}{1-(\dfrac{2\sqrt{2+\sqrt5}}{1+\sqrt5})^2}=\\
\dfrac{4\sqrt{2+\sqrt5}(1+\sqrt5)}{(1+\sqrt5)^2-4(2+\sqrt5)}=\\-2\sqrt{2+\sqrt5}$$ Other side we have $$-\cot b =-(\sqrt{8+4\sqrt5})=-2\sqrt{2+\sqrt5} \checkmark$$