Maybe the most effective way to calculate these integrals is not to start from scratch and use residue theory, but to apply the general formula proved in Ramanujan's Lost Notebook, part IV, formula 14.4.14. In another words there is no need to reinvent the wheel. I will demonstrate the method and its effectiveness by calculating $(1)$. Note that
\begin{align}
I_1&=\int_{0}^{\infty}{\cos(10x^2\pi)\sin(6x^2\pi)\over \sinh^2(2x\pi)}\mathrm dx\\
&=\int_{0}^{\infty}{\sin(16x^2\pi)-\sin(4x^2\pi)\over 2\sinh^2(2x\pi)}\mathrm dx\\
&=\int_{0}^{\infty}{32\pi x\cos(16x^2\pi)-8\pi x\cos(4x^2\pi)\over 4\pi}\left(\frac{1}{\tanh(2x\pi)}-1\right)\mathrm dx\\
&=\frac12\int_{0}^{\infty}{\left(4\cos(4x^2\pi)-\cos(x^2\pi)\right)}x\left(\frac{1}{\tanh(x\pi)}-1\right)~\mathrm dx
\end{align}
It is known that the following diverging integral can be regularized through the introduction of a regularization factor $e^{-\delta x^2},~\delta\to+0$
$$
\int_{0}^{\infty}x\cos\pi a x^2~dx=0\tag{*}.
$$
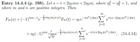
Ramanujan considers the function
$$
F_w(t)=\int_{0}^{\infty}{\sin(\pi t x)\over\tanh(x\pi)}e^{-\pi wx^2}~\mathrm dx
$$
and proves the following proposition

where the prime $'$ on the summation sign indicates that the terms with $j = 0, n$ are to be multiplied by $\frac{1}{2}$.
This formula allows one to calculate $F_w(t)$ when $w=-\eta_2ni/(\eta_1 m)$, because in that case $s=t$ and 14.4.14 can be solved for $F_w(t)$.
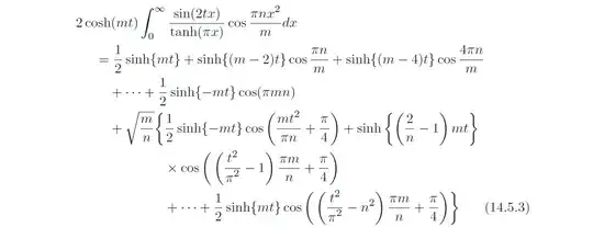
For example, for odd $m$ and $n$ 14.4.14 becomes:
Now divide (14.5.3) by $t$ and take the limit $t\to 0$. Of course the integral will be divergent, however it is made convergent by substracting $4\int_{0}^{\infty}x\cos(\pi x^2)~dx=0$. For example for $m=n=1$ one gets
$$
4\int_{0}^{\infty}{x\cos(x^2\pi)\left(\frac{1}{\tanh(2x\pi)}-1\right)}~\mathrm dx=\frac{1}{2}+\frac{-1}{2}(-1)+\left(\frac{-1}{2}\cdot \frac{1}{\sqrt{2}}+\frac{1}{2}\frac{-1}{\sqrt{2}}\right)-0\\
=1-\frac{1}{\sqrt{2}}.\tag{**}
$$
Numerical check confirms that (**) is correct.
When one of $m,n$ is even, then analog of $14.5.3$ will have $\sinh(mt)$ on the LHS instead of $\cosh(mt)$, and in this case one needs to divide by $t^2$ and apply Lopital's rule to the RHS. Of course there is no need to calculate everything by hand, because formulas $14.4.14$ can be plugged in Mathematica and closed forms evaluated automatically, thus saving a great deal of time and effort.