0

After 2-3 hours thinking about taking derivative of this function:

function

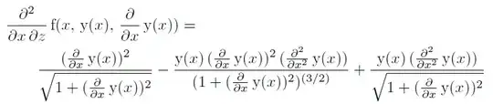
And finding its answer on the net, don't get how they've taken its derivative using Euler equation. the drivative of this function is this:

function-drivative

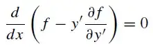
This is the Euler equation:

function2

Would you please explain me step by step how they take its drivative.

Added:

This is the whole of that problem and its solution which I'm trying to solve:

function

Roh
  • 161
  • 1
    From the first line I'd say $;f;$ is a function of two variables: $;x,y;$ , but then we have $;\partial^2f;$.,..with three variables there! I don't understand: what is the given info? – DonAntonio Jan 11 '17 at 15:31
  • @DonAntonio Z=y' in the solution. just out of simplification, they've done it. – Roh Jan 11 '17 at 15:33
  • 1
    @Ro And why didn't you write this? And anyway: how is $;f;$ defined? It seems obvious it is a three variable function, so again: why isn't this information written there?! From what you write, it isn't clear at all what $;z;$ could possible be... – DonAntonio Jan 11 '17 at 15:37
  • @DonAntonio Just add whole of the problem and its solution. check out the question again please. – Roh Jan 11 '17 at 15:45

1 Answers1

0

Here is the formally correct way to think about the Lagrange equations. First, note that your Lagrangian depends on $x$ only through the dependent "variables" $y$ and $y'$ (I put variables in quotes because $y'$ isn't really what a mathematician would consider a variable). Your Lagrangian

$$f=f(y,y')$$

can be rewritten as a function of two independent variables

$$f=f(v,w):\mathbb{R}^2\to\mathbb{R}$$

$$(v,w)\mapsto v\sqrt{1+w^2}$$

Your problem is asking you to first differentiate $f$ with respect to the second variable,

$$\frac{\partial f}{\partial v}(u,v)$$

then obtain a function of $x$ by plugging in $y(x)$ and $y'(x)$ into the two slots

$$g(x)=\frac{\partial f}{\partial v}(y(x),y'(x))$$

and finally differentiate $g$ with respect to $x$

$$\frac{d g}{dx} = \frac{d}{dx}\Bigg[\frac{\partial f}{\partial v}(y(x),y'(x))\Bigg]$$

Note that I used "$d$" instead of "$\partial$" because $g$ is a function of one variable. Follow this procedure and you'll get the correct answer.

Physicists use incorrect notation sometimes. The notation used in the Lagrange equations is mathematically unsound and confusing for students, although once you get used to it it's quicker than everything I typed out. In your problem, $\frac{\partial ^2}{\partial x \partial z}$ is being used inappropriately. If you evaluated $\frac{\partial ^2}{\partial x \partial z}f$, by equality of mixed partials you could differentiate with respect to $x$ first, and since $f$ is independent of $x$, the whole thing would be zero. On the other hand, applying $\frac{\partial ^2}{\partial x \partial z}$ to $f(x,y(x),v(x))$ makes no sense either, since this is a function of one variable.

juan arroyo
  • 1,375
  • Also see my answer here http://math.stackexchange.com/questions/2084681/differentiating-a-function-of-a-variable-with-respect-to-the-variables-derivati/2085001#2085001 – juan arroyo Jan 11 '17 at 16:38
  • This is not my answer. I do know how to use Euler equation. the problem is that I don't know how to take this tough drivative. – Roh Jan 12 '17 at 07:15
  • @Roh Do you know the product rule, the chain rule, and how to differentiate square roots? Did you follow the instructions in my post? The derivatives required are at the level of introductory calculus. – juan arroyo Jan 12 '17 at 13:41