Let $f(z) = \operatorname{log} \sum_{i=1}^n z_i = \operatorname{log} 1^Tz$.
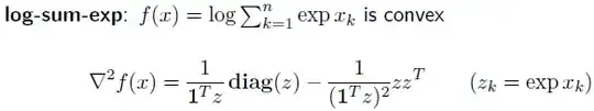
This problem comes from the following famous theorem:
My work:
The following step is just consider one entry of the Hessian matrix:
$$\nabla^2 f(z)_{ij} = \frac{\partial f(z)}{\partial z_i\partial z_j} = \frac{\partial}{\partial z_i}(\frac{\partial f(z)}{\partial z_j}) = \frac{\partial}{\partial z_i}(\frac{1}{1^Tz})=-\frac{1}{(1^Tz)^2}$$
I have no idea how to obtain the desired form. How to obtain the other term such as $\operatorname{diag(z)}$. Moreover, the numerator here is $1$.
