0

We have to find the general solution of the trigonometric equation

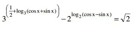
enter image description here

I wite is as

$\sqrt3$(cos x + sin x) - (cos x - sin x) =$\sqrt2$

And cos x > sin x

But how to proceed

Koolman
  • 2,898
  • I'd rather write it as $\sqrt3(\cos x+\sin x)-\cos x+\sin x=\sqrt2$, which is a bit truer. You also forgot to impose the conditions that allow the terms to exist. –  Dec 28 '16 at 07:07
  • You are still forgetting one condition of existence. –  Dec 28 '16 at 07:20
  • I have edited my answer. See whether this helps you. –  Dec 28 '16 at 10:41
  • 1
    @koolman, See also : http://math.stackexchange.com/questions/1705425/an-elegant-way-to-solve-frac-sqrt3-1-sin-x-frac-sqrt3-1-cos-x – lab bhattacharjee Jan 08 '17 at 12:59

4 Answers4

2

We can write $\frac {1}{2}$ as $\log_3 \sqrt {3} $. Then our equation transforms to $$\sqrt {3}( \cos x +\sin x)-(\cos x-\sin x)=\sqrt {2} \Rightarrow (\sqrt {3}-1)\cos x+(\sqrt {3}+1)\sin x=\sqrt {2} $$ $$\Rightarrow (\frac {\sqrt {3}-1}{\sqrt {2}})\cos x + (\frac {\sqrt {3}+1}{\sqrt {2}})\sin x=1$$ Now setting $\frac {\sqrt {3}-1}{2\sqrt {2}} =\cos \theta $ we get an equation of the form $$2\cos (\theta -x)=1$$ which can be easily solved.


Hope it helps.

2

HINT:

Another way:

$$\cos x-\sin x=\sqrt2\sin\left(\dfrac\pi4-x\right)$$

$$\cos x+\sin x=\sqrt2\cos\left(\dfrac\pi4-x\right)$$

Write $\dfrac\pi4-x=\dfrac\pi2-2y$

$$\sqrt3\sin2y-\cos2y=1\iff2\sqrt3\sin y\cos y=1+\cos2y=2\cos^2y$$

$$\cos y\left(\tan y-\dfrac1{\sqrt3}\right)=0$$

1

We have $$(\sqrt{3}-1)\cos x+(\sqrt{3}+ 1)\sin x=\sqrt{2}$$ as a result $$\frac{\sqrt{3}-1}{1+\sqrt{3}}\cos x+\sin x=\frac{\sqrt{2}}{{1+\sqrt{3}}}$$ thus $$\tan\left(\frac{\pi}{3}-\frac{\pi}4\right)\cos x+\sin x=\frac{\sqrt{2}}{{1+\sqrt{3}}}$$ In other words $$\sin\left(\frac{\pi}{12}\right)\cos x+\cos\left(\frac{\pi}{12}\right)\sin x=\frac{\sqrt{2}}{{1+\sqrt{3}}}\cos\left(\frac{\pi}{12}\right)$$ therefore finally we have $$\sin\left(x+\frac{\pi}{12}\right)=\frac{\sqrt{2}}{{1+\sqrt{3}}}\cos\left(\frac{\pi}{12}\right)=\frac{\sqrt{2}}{{1+\sqrt{3}}}\times \frac{\sqrt{6}+\sqrt 2}{4}=\frac 12$$

1

HINT:

$\sqrt3-1=\tan60^\circ-\tan45^\circ=\dfrac{\sin(60-45)^\circ}{\cos60^\circ\cos45^\circ}$

$\sqrt3+1=\tan60^\circ+\tan45^\circ=\dfrac{\sin(60+45)^\circ}{\cos60^\circ\cos45^\circ}$

Now $\sin105^\circ=\sin(90+15)^\circ=\cos15^\circ$

So, we get $\sin(x+15^\circ)=\sin30^\circ$

$\implies x+15^\circ=180^\circ n+(-1)^n30^\circ$ where $n$ is any integer