78

Often when doing assignments, I find myself deliberately writing in a "mysterious" way. By this I mean that the reader usually will not understand what exactly is going on and what for, until the very end where all the things come together.

A simple example is if I wish to prove that $S$ is true by showing that it is equivalent to $s$ being true, and then proving that $s$ is true. Often I will find myself doing this by writing something that reads like ...

"Consider s, this seemingly random object that I present to you out of nowhere. Let us work on this for the next 1-2 pages, don't ask me why ..... [1-2 pages later] .... and that proves that $s$ is true. Now by noticing this and that, we see that this implies $S$ is true. Surprise! QED"

Is this bad form? It also seems a bit pretentious to be, because the reason I think I sometimes do this is because these are the proofs I have mostly met in textbooks. Rarely is the proof sketched before it's given, very often new, foreign, confusing objects are introduced without introductions and motivations, and it's usually near the end of the proof that I would get my "aha" moment. The problem with this is of course that if one does not know the why behind some of the steps during the first reading, then one will have a harder time remembering how the pieces fit together throughout the proof.

But of course my instructors are not students reading (undergaduate) textbooks, and therefore they can perhaps deal with these sorts of mysterious proofs? Maybe they even prefer them, rather than having to waste time on reading me informally writing a few sentences prior to the proof outlining my ideas, giving a proof sketch, etc? I also do not wish to run the risk of sounding patronising or arrogant: "look at me and my geniusly complicated proof that I will now explain to you step by step".

Jaood
  • 1,391
  • 74
    First you definitely should write as difficult as possible, who cares about your instructors, give them a hard time. Second all the greats from Newton to Gauss wrote in an intentionally difficult way. And third people (ESPECIALLY academics) respect you more if the don't understand what you are saying. – Rene Schipperus Dec 24 '16 at 01:30
  • 31
    Andrew Wiles didn't even mention S until the very end in a series of lectures he gave. – Count Iblis Dec 24 '16 at 01:47
  • 6
    I found myself laughing aloud at your comment - "Consider this random object out of nowhere." – Saikat Dec 24 '16 at 03:05
  • 4
    @CountIblis When I saw Wiles give a talk, it was very clear and he plainly stated the goal/theorem at the beginning. – Kimball Dec 24 '16 at 05:09
  • 6
    @Kimball I think he is referring to a specific very famous set of lectures that Wiles gave. – Sasho Nikolov Dec 24 '16 at 07:06
  • 10
    Restructuring your mysterious proof into a coherent, intuitively reasonable argument can be difficult, but it is time very well spent. It forces you to understand things in a deeper, less superficial way. – Nick Alger Dec 24 '16 at 08:21
  • 10
    Maybe they even prefer them [mysterious proofs], rather than having to waste time on reading me informally writing a few sentences prior to the proof outlining my ideas, giving a proof sketch, etc?

    Absolutely not! As a teaching assistant grading 50-100 homework sets a week, by far the greatest source of frustration for me and my colleagues are assignments that give no motivation and none of the underlying ideas. The point of (our) homework assignments is not that you give formally correct proofs. The point is that you show that you've understood the material.

    – Servaes Dec 24 '16 at 10:38
  • 5
    There are answers that explain well this argument, I would like add two sentences: You do not really understand something unless you can explain it to your grandmother. (Albert Einstein) Simplicity is the ultimate sophistication. (Leonardo Da Vinci). If is possible I think is ad good idea keep in mind these advices, because the proofs are written for people (especially after the graduation). – Mauro Vanzetto Dec 24 '16 at 14:59
  • @SashoNikolov I know what he is referring to---my point is that was a very specific situation which is not really relevant for students. I think that comment is more likely to be misleading than helpful. – Kimball Dec 24 '16 at 17:13
  • 38
    My wife, who only puts up with my mathematical mutterings because it's too cold to go out, immediately observed that if you want to end your proof with "QED" you had better say at the beginning that you meant to prove $S.$ Otherwise $S$ is not the "quod" that "erat" (was) "demonstrandum" (to be shown). – David K Dec 24 '16 at 19:56
  • Thing situation writing a 'mysterious' proof would be okay would be in a expository setting where one intends to gin up mystery and wonder. This can be used to ill effect but take an more effective one consider the one sentence proof that every prime =1 mod 4 is the sum of two squares (https://people.mpim-bonn.mpg.de/zagier/files/doi/10.2307/2323918/fulltext.pdf). But as mentioned in the answers, proofs are about clarity and often you get get as much mystery writing a clear proof as without. – abnry Dec 25 '16 at 02:09
  • 5
    Just write "bear with me" every other line until you reach S – user2813274 Dec 25 '16 at 03:49
  • @Mauro: Can you get an actual source for these quotes, especially the "Albert Einstein" quote? – Asaf Karagila Dec 25 '16 at 10:47
  • @Asaf_Karagila we go off topic :-), I give a link for both the sentence. I read the Albert Einstein's sentence many year ago (I think in a divulgative scientific Italian journal). For more info see George Chalhoub's answer to this question. – Mauro Vanzetto Dec 25 '16 at 11:39
  • 2
    Proofs are proofs, literature is literature. Don't confuse the two. – John Feltz Dec 25 '16 at 14:15
  • 1
    I'm a little puzzled how you can even end up considering writing incomprehensible proofs intentionally. – user159517 Dec 25 '16 at 22:03
  • 3
    Î literally explained this in the question. Perhaps try reading it? And the proofs aren't "incomprehensible". That is your flawed interpretation. I used the word "mysterious". Two different things. Don't put words in my mouth. – Jaood Dec 25 '16 at 22:06
  • 6
    Bad form is when you mention what you want to prove in a "margin too small to contain the proof", and then die without providing the proof. – Masked Man Dec 26 '16 at 02:52
  • 2
    @Jin5 I apologize if my comment irritated you, I didn't mean to ruffle your feathers. Still, even after rereading your question I don't see even one possible advantage of writing proofs "mysteriously". In my humble opinion the answers to this question reflect similar opinions. – user159517 Dec 26 '16 at 12:36
  • "Maybe they even prefer [mysterious proofs], rather than having to waste time on reading me informally writing a few sentences prior to the proof outlining my ideas..." I think you're missing the point of you writing a proof for your instructor. They don't want you to prove it to them, they want to see how you would prove it to others, including yourself. Only putting in what seems to be the bare minimum of information might save your instructors time in the sense they won't have to spend a lot of time wondering if you're overly parsimonious when writing proofs. – Todd Wilcox Dec 26 '16 at 16:46
  • 2
    Mathematicians love to write mysteriously, but get furious when others do it. – The Count Dec 26 '16 at 23:46
  • @CountIblis If one is brilliant enough to come up with a (valid) proof of a famous unsolved problem, then people are prepared to forgive quite a lot. But it must be remembered that Wiles' first attempt (the grand reveal at the end of the lecture series) was proven wrong, which must have been rather acutely embarrassing for him. – Deepak Dec 27 '16 at 00:41
  • It's a terrible thing to do. But I find when I read some of my old papers, I have done it many times! And lots of other mathematicians do it as well. – Stephen Montgomery-Smith Dec 27 '16 at 18:38
  • 4
    @TheCount, more realistically - we try to write clearly and simply, fail, then get furious when others fail, too! – goblin GONE Dec 30 '16 at 01:45
  • 1
    If you want to go to the opposite extreme and show consideration to your readers, let me suggest you study On the Shape of Mathematical Arguments by Antonetta J. M. Van Gasteren and Edsger W. Dijkstra. – PJTraill Dec 31 '16 at 14:58
  • A proof should be convincing to all who is interested, not only to those who think "complicated is smart". – Lehs May 14 '20 at 06:47

9 Answers9

119

The purpose of proofs is communication. If your proof is obscure, then you have failed to communicate.

Strive to be as clear as possible, including motivation for complicated arguments, if necessary.

lhf
  • 216,483
  • 18
    I take this principle to the extreme, and occasionally tell people (only half facetiously): "A proof that is unclear is not a proof at all." It's not strictly true, but it motivates good practices in exposition. – Gyu Eun Lee Dec 24 '16 at 03:55
  • 16
    @GyuEunLee I actually agree with that, in a fundamental philosophical way. Outside of logic, a proof is not a thing of mathematics. It is a communication of ideas between two people. Relatedly, I strongly believe that the appropriate amount of rigor in an argument is the amount of rigor the audience needs to be satisfied. – Stella Biderman Dec 24 '16 at 19:07
  • 2
    This is right, you are trying to communicate to others your idea of how something is true. If you can't do it in a clear way, they may not understand (or worse, believe) you. – Obinna Nwakwue Dec 26 '16 at 02:47
  • I agree and love this response. I only wish that every book author had read it, because it seems none of them did. – The Count Dec 26 '16 at 23:47
  • @StellaBiderman: Do you consider the four-color theorem to be proven? How about the classification of finite simple groups? – ruakh Dec 27 '16 at 00:00
  • "The purpose of proofs is communication" - sorry, you have lots of credits, but still the purpose of proofs is proof. –  Dec 27 '16 at 05:42
  • 4
    @John, that's getting sorta kinda philosophical; if a bear sh... whoops, wrong question. If a "correct" (whatever the hell that means in this case) proof cannot be understood by anyone and judged for "correctness", is it really a proof? – J. M. ain't a mathematician Dec 27 '16 at 10:14
  • @ruakh Yes, predicated on my trust of other mathematician's work. "Enough people have checked it" is a convincing argument to me. – Stella Biderman Jan 03 '17 at 17:01
  • @JohnDonn what does "the purpose of proofs is proof" mean? Can you unpack that for me? – Stella Biderman Jan 03 '17 at 17:02
  • @StellaBiderman What I meant is that the primary purpose of a proof is, well, to prove, and not just "communicate" whatever that means. A proof is like reaching the Pole, and putting there your flag. That others may read your proof easily or not, is really a secondary consideration. –  Jan 03 '17 at 18:02
  • @JohnDonn it's possible we are using language differently. When I say "a proof" I mean "a written out proof" rather than "an argument that convinces the author." – Stella Biderman Jan 03 '17 at 18:03
64

As an instructor I want to see proofs that are as transparent as possible - English where words do the job, complex notation only when necessary. Sometimes words in advance about the general structure of the proof will be helpful; sometimes they're unnecessary. I understand that the balance is a judgment call, and my students and I may differ about the balance. When I read homework I try to teach style as well as check for correctness.

Deliberately obscure writing wastes my time.

If you've mostly met obscure proofs in your textbooks then I think your instructors should have chosen better books.

Ethan Bolker
  • 95,224
  • 7
  • 108
  • 199
46

There is absolutely no reason to deliberately write mysterious arguments and test the patience of your instructors and their ability to follow your "mysterious" arguments if you can write things clearly. If a certain mental picture or idea lead you somewhere, then by writing it down explicitly and getting feedback you will learn much more than by intentionally obfuscating your argument. When you have to grade 50 assignments on a tight schedule, there is nothing more annyoing that reading a two-page argument that is ridden with mistakes/inaccuracies when you have no idea why the person that wrote it bothered to go into that direction in the first place.

Let me give you a silly example. Often in real analysis text books when you prove that some limit is equal to $L$, the proof starts with something like "Let $\delta := \min \{ \frac{\varepsilon}{12}, 4 \}$. Then...". While this is fine from a strict point of view, I wouldn't suggest people that encounter the material for the first time to try and reproduce such proofs. The reason is that if one writes a wrong proof in this format, it is often very difficult to identify and point out the origin of the error. If, on the other hand, a student writes "Given $\varepsilon > 0$, we want to find $\delta > 0$ such that .... By manipulating ... we see that if $\delta$ satisfies ... then we will have ..." then if something goes wrong, it is much easier to understand what was the wrong step and give a constructive feedback instead of just marking an X. If the proof is correct, then there's no problem but then there's usually not much need for feedback. But if the proof is wrong and you have to spend ten minutes to understand why the person chose $\min \{ \frac{\varepsilon}{12}, 4 \}$ and not $\min \{ \frac{\varepsilon}{24}, 1 \}$ and the text gives you no clue whatsoever, then you just won't do it.

levap
  • 65,634
  • 5
  • 79
  • 122
  • 7
    "When you have to grade 50 assignments on a tight schedule, there is nothing more annoying that reading a two-page argument that is ridden with mistakes/inaccuracies when you have no idea why the person that wrote it bothered to go into that direction in the first place..."

    I KNEW IT!

    – silvascientist Dec 24 '16 at 02:16
  • 14
    +1. Grading assignments is a long task. When I can't understand what you're trying to do, I'm far less likely to see that you've done it, and much more likely to mark you down on that. Further, assignments are to show you understand the ideas, not to show you can write mystery novels (you should be in literature classes if that's your goal). – Nij Dec 24 '16 at 03:25
  • 4
    While I agree in principle, I have to say that your last sentence isn’t quite true for everyone: while I occasionally had to admit defeat, I did spend that kind of time trying to figure out what my students were thinking and addressing it in (sometimes very extended) comments. – Brian M. Scott Dec 24 '16 at 04:02
  • 2
    @BrianM.Scott: I also spent a fair amount of time doing it but I wanted to convey the point that this is not something one should expect. If someone writes a solution to an assignment, they should spend the time making their ideas and motivation as clear as possible instead of spending it on writing deliberately mysterious arguments. – levap Dec 24 '16 at 16:01
30

The problem here is really that the impeccable "logical" order isn't always the clearest way of explaining something. There's a couple of ways to get around this. Suppose, for example, that your argument is of the form $$\varphi_0 \rightarrow \varphi_1 \rightarrow \cdots \rightarrow \varphi_{389} \qquad \therefore \varphi_0 \rightarrow \varphi_{389}$$

Ask yourself: how did you actually come up with this argument? Well, you probably made an educated guess that $\varphi_0 \rightarrow \varphi_{87}$, that $\varphi_{87} \rightarrow \varphi_{217}$, and that $\varphi_{217} \rightarrow \varphi_{389}.$ Then you went about filling in the details.

So there's these special intermediate $\varphi$'s that are especially simple, or interesting, or natural-looking steps toward your actual goal.

Approach 0. Tell the reader about these special intermediate steps ahead of time.

For example:

The proof will proceed in three sections. In the first section, we will demonstrate that $\varphi_0 \rightarrow \varphi_{87}$. In the second section...

Then put "Section X" at the beginning of each section and be sure to remind the reader of what you're doing.

Approach 1. Alternatively, try reducing the argument to fewer lines by interjecting technical lemmas into the proof whenever you need them, and then proving them afterward. For example:

Assume $\varphi_0$. It's clear that $\varphi_1$, from which we deduce $\varphi_2$. Hence using:

Lemma 0. You're beuatiful.

we deduce $\varphi_{87}$. Multiplying both sides by your chest hair demonstrates that $\varphi_{88}$. Now use:

Lemma 1. If two people have identical chest hair, they're equal.

to see that $\varphi_{217}$.

(etc.)

Then go and prove the lemmas afterward.

Addendum. Rereading my original answer, I notice it has a major deficiency that I'd like to address here. In particular, the above answer fails to mention the importance of the word "show" and phrases like:

  • "we're trying to show that..."
  • "hence, it is enough to show that..."

Appropriate use of such phrases is a key tool for writing clearly, not only because they clarify what it is you're doing, but also because they give you a means of beginning at the end of the proof and working backwards, which is often a lot clearer.

Let's take a look at your example:

"Consider $s$, this seemingly random object that I present to you out of nowhere. Let us work on this for the next 1-2 pages, don't ask me why ..... [1-2 pages later] .... and that proves that $s$ is true. Now by noticing this and that, we see that this implies $S$ is true. Surprise! QED"

You could rewrite this as:

Our goal is to show $S$. By Theorem (whatever), it suffices to show $s$. Rewriting to make $x$ the subject, we see that it suffices to show $s'$. Therefore ..... [1-2 pages later] .... Hence it suffices to show that $1 > 0$. But this is trivial.

Be sure not to say "we need to show ." You never need to show a goal, because it's not a necessary step for completing the proof, rather it's sufficient for completing the proof. Better to say: "it's enough to show that," etc.

Here's a bigger example of how to write in this way that you might find helpful.

Problem. Show that $$\forall n \in \mathbb{N} : \sum_{i = 0}^{n-1}(i+1)^2 = \frac{n(n+1)}{2}.$$

We proceed by induction. For the base case, our goal is to show that $$\sum_{i = 0}^{0-1}(i+1)^2 = \frac{0(0+1)}{2}.$$ That is, we're trying to show that $0 = 0.$ But this is trivial.

For the inductive step, assume $$\sum_{i = 0}^{n-1}i+1 = \frac{n(n+1)}{2} \tag{$*$}.$$ Our goal is to show the following $$\sum_{i = 0}^{n}i+1 = \frac{(n+1)(n+2)}{2}.$$ Since the function $t \mapsto t - a$ is injective for all $a \in \mathbb{R}$, hence by subtracting $(*)$ from both sides, we see that it is enough to show that $$\sum_{i = 0}^{n}i+1 - \sum_{i = 0}^{n-1}i+1 = \frac{(n+1)(n+2)}{2} - \frac{n(n+1)}{2}.$$

Simplifying, we deduce that it's enough to show that $$n+1 = \frac{(n+1)(n+2)}{2} - \frac{n(n+1)}{2}.$$ But this is true, by elementary algebra. This completes the proof.

goblin GONE
  • 67,744
  • 2
    This is the best advice for writing understandable proofs I have ever seen: good content, concise, and an interesting example (I really want to know what $\varphi_{389}$ those lemmas are working toward.) – dovalojd Dec 25 '16 at 01:56
  • 1
    @dovalojd, thank you for the kind words. – goblin GONE Dec 25 '16 at 09:38
  • 1
    I personally love approach 0, with a slight change. Instead of presenting the Sections in ascending order, I present them in their importance order, i.e., if the last step is the "heart" of the proof, I will prove $\phi_{217} \implies \phi_{389}$ first. Since I already warned the reader about $\phi_0 \implies \phi_{217}$, it's fine. – Pedro A Dec 26 '16 at 14:29
  • The style of your final "good example" seems awfully stilted to me and a bit weird. For instance, in the base case, you shouldn't say "we're trying to show that 0 = 0" because you don't need to show that. You're concealing the details of your proof in the algebraic manipulation, and not even saying so, and then making weird allusions to "needing to show" something. It would be far better to either (a) spell out the algebraic manipulations explicitly, after saying "We show the base case by simple substitution and algebraic manipulation," or (b) just say that alone and leave it be. – Wildcard Nov 21 '22 at 19:54
22

tl;dr: Your instructors tolerate it to teach you the value of a correct proof. Later on in your career you will need to learn the value of a clear, well-communicated proof as well.


Instructors give full credit because at this phase of education it is very important to emphasize that correctness comes from the mathematical content of the proof alone. The instructor's feelings are irrelevant. If your proof is correct, no matter how silly you are or how much of a dork you choose to be when writing a proof, we accept it. As a grader I've given full credit to a proof written with every variable as a meme. I hated it; but this was the contract between instructor and student and I honored it and despite the nuisance I feel this was good pedagogy (and well-intentioned enough).

This will not fly if you are the instructor or you are the writer. If you want your students to be confused, give them exercises. Confusion is important and exercises are where it should happen.

It will also not fly if you are the writer. Your editors or proofreaders will expect you to write clearly and informatively.

Academic papers often value terseness, but that is not something that derives from delightful obfuscation. So you won't be doing that.

djechlin
  • 5,386
  • Every variable as "an idea, behavior, or style that spreads from person to person within a culture"? WTF? I give up, what does that mean? – bof Dec 24 '16 at 01:52
  • 1
    It was poor pædagogy. Part of the job is teaching the skill of writing comprehensible proofs. It’s perfectly reasonable to give most of the weight to the correctness (or otherwise) of the argument, but gross infelicities should get at least a token deduction along with an explanation of why they’re a bad idea. – Brian M. Scott Dec 24 '16 at 03:55
  • @BrianM.Scott I settled for telling the student I would allow it but he probably shouldn't do that in general. It helps to have rapport with the students. – djechlin Dec 24 '16 at 04:17
  • This was a freshman year honors course (5-10 of these students complete PhDs at R1s each year). I just really, fully stand by the decision that establishing the culture of mathematics being foremost about correct proof is important. I was a course assistant / grader they could take a liberty with. I think any of these students (except for one who got banned from MO) would understand not to try a gag like that with an arbitrary professor. – djechlin Dec 24 '16 at 04:20
  • 3
    @bof "Meme" is sometimes a bizarre shorthand for "image macro" (since image macros are often shared like memes). – Ian Dec 27 '16 at 02:34
12

I find this practice irksome for several reasons: it makes it tough on the reader; it may indicate a lack of understanding by the writer; and it contributes to a perception of mathematics as being abstruse and rife with legerdemain.

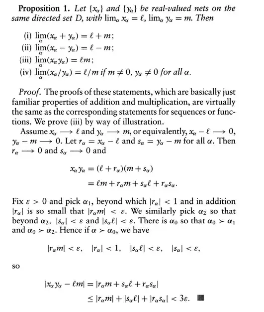
The practice seems to arise once formal proof writing rears its head, although less so in, say, an early course on Euclidean geometry. One of the first places I notice it is when $\varepsilon$ finds its way into a mathematical discussion. To this end, I thought I would point out a proof that I think is a good example of how to prove a proposition in a textbook. The book is:

Bear, H. S. (2001). A primer of Lebesgue integration. Academic Press.

Here is the proof (p. 11) followed by a few comments:

enter image description here

The proof begins by telling you what it will be similar to in terms of earlier proofs. It does not go through each of the four parts, but rather picks one of them to show "by way of illustration" how they can each be proved.

Bear explicitly connects the assumed limit with both the notation $x_\alpha \rightarrow \ell$ and the equivalent $x_\alpha - \ell \rightarrow 0$; I think many textbooks would elide over this equivalence. Moreover, he writes out the proof to show that, for any fixed $\varepsilon > 0$, the desired bound of $3\varepsilon$ can be achieved. Certainly some care should be taken in introducing this approach, but I find it easier to read: Yes, he could have gone back and tinkered with things to achieve the bound of "$< \varepsilon$" instead. But once one has some understanding of how these proofs go, I find that those careful selections in reworking of proofs feel a bit like Mad Libs. My own preference, although I do not think this convention is widely shared, is to allow a bound of a constant multiplied by epsilon, as Bear does here. I find it easier reading, and less mysterious; both of which, to answer the OP, are laudable goals.

  • 1
    In a more advanced book then, the proof would only say "the proof is the usual one" (as I read multiple times in a very good book about Lie algebras). – kjetil b halvorsen Dec 26 '16 at 03:14
  • 1
    Upvoted with amusement at this phrase: "...it contributes to a perception of mathematics as being abstruse and rife with legerdemain." I guess irony can be pretty ironic sometimes. – Todd Wilcox Dec 26 '16 at 16:48
  • 1
    An important thing about the "$C \epsilon$" proof style that should really be in books more: if you really care, you can get a bound of $C \epsilon$ and then say "repeating the proof with $\epsilon'=\epsilon/C$ completes it". This also tells you what all your "$\delta$"s should really be in order to get the error tolerance you established at the start. – Ian Dec 27 '16 at 12:28
11

Is this bad form?

Yes

I wonder why you are asking this - how could it not be bad form?

What you describe is common. Our Discrete Structures prof used exactly that style. His first act on day 1 of DS101 was not to say "Good day", but to write "Definition 1.0.0.1" on the board, and give the formal definition of whatever he started with. Then "Axiom 1.0.0.2" ... "Theorem 1.0.0.3" ... "Proof 1.0.0.4" and so on ad infinitum.

Everything was clearly labeled, logical, correct, orderly, properly cross-referenced and absolutely useless. Nobody had a clue about what the purpose of this class was (unless they picked up a book, or already knew what discrete mathematics was about). It certainly did not do anything to teach how to use all this mess on your own, or how to get some kind of intuition. Frankly, as you had to get a textbook anyway, I found it hard to see what the point of his lecture was. Yes, using textbooks in addition to lectures is common, but the lecture should not be a totally opaque mess.

Compare this to some full lectures that are available online by well-known universities (for example, and this is a nice coincidence, Stanford Discrete Structures Lecture Notes). One thing they usually have in common is that the prof goes to great lengths motivating what he is teaching. Of course this is the good form. Of course you want to do that in your proofs, or in whatever you do. No matter whether you are targeting students or your seniors.

AnoE
  • 819
9

Humm... $1$-$2$ pages is quite short. :)

Now honestly, there are so many ways of writing mathematics that each of us writes it in our own way. It also depends a lot on the audience and on the topic. Specialists often know what is going on and a single sentence may be sufficient, someone who is studying it for the first time "deserves" a different approach.

Do try to read what you wrote thinking that someone else is reading it! This is a very good exercise that often leads to improvement and self-awareness of what is involved. Experience will come with time.

By the way, it is really wonderful (and atypical?) that you are taking this into consideration.

John B
  • 16,854
4

Since all answers agree that this is a bad idea, I'm tempted to add a rare case for the opposite.

Say you have been working for 7 years on a famous conjecture that has tortured mathematicians for 300+ years without anyone else having even come close to proving it. But you have managed to finally tackle it, in a 150 pages paper.

In that case, it seems like a good idea to have a "mysterious" proof - and provide it in, say 3 days lectures - that escalate into proving the unexpected and exciting result.

At Last, Shout of 'Eureka!'

  • 5
    Except that, 2 months later, a fatal flaw is discovered in your proof and your dramatic presentation looks pretty silly. Until, a year or two later, you find another, obscure, mysterious method to fix your proof and you become justly famous. – Justsalt Dec 27 '16 at 16:32
  • 2
    @Justsalt yeah, live performances not always work as expected ;) – ypercubeᵀᴹ Dec 27 '16 at 17:42