18

(Note: This is the case $a=\frac13$ of ${_2F_1\left(a ,a ;a +\tfrac12;-u\right)}=2^{a}\frac{\Gamma\big(a+\tfrac12\big)}{\sqrt\pi\,\Gamma(a)}\int_0^\infty\frac{dx}{(1+2u+\cosh x)^a}.\,$ There is also $a=\frac14$ and $a=\frac16$.)

In a post, Reshetnikov considered some integrals and the surprising evaluations, $$ \frac{1}{48^{1/4}\,K(k_3)}\,\int_0^1 \frac{dx}{\sqrt{1-x}\,\sqrt[3]{x^2+\color{blue}{4}x^3}}=\,_2F_1\big(\tfrac{1}{3},\tfrac{1}{3};\tfrac{5}{6};-\color{blue}{4}\big)= \frac3{5^{5/6}}\tag1$$

$$ \frac{1}{48^{1/4}\,K(k_3)}\,\int_0^1 \frac{dx}{\sqrt{1-x}\,\sqrt[3]{x^2+\color{blue}{27}x^3}}=\,_2F_1\big(\tfrac{1}{3},\tfrac{1}{3};\tfrac{5}{6};-\color{blue}{27}\big)=\frac{4}{7}\tag2$$

We postulate these are just the first of an infinite family of algebraic numbers $\alpha$ and $\beta$ such that,
$$_2F_1\left(\frac13,\frac13;\frac56;-\alpha\right)=\beta\tag3$$

$$\begin{array}{|c|c|c|c|c|} \hline p&\tau&\alpha&\beta&\text{Deg}\\ \hline 3&\frac{1+3\sqrt{-3}}2& \large \frac13& \large \frac{2}{3^{2/3}}&1\\ 5&\frac{1+5\sqrt{-3}}2&\color{blue}{4}& \large\frac3{5^{5/6}} &1\\ 7&\frac{1+7\sqrt{-3}}2&\color{blue}{27}&\large\frac47&1\\ 11&\frac{1+11\sqrt{-3}}2& \sqrt{11}\big(2\sqrt3 + \sqrt{11}\big)^3& \large\frac6{11^{11/12}} \frac1{U_{33}^{1/4}} &2 \\ 13&\frac{1+13\sqrt{-3}}2& 4\sqrt{13}\big(4 + \sqrt{13}\big)^3&\large\frac7{13}\frac1{U_{13}}&2\\ 17&\frac{1+17\sqrt{-3}}2& \frac4{729}\left[(1 + \sqrt[3]{17})^2 + 6\right]^6& \large\frac9{17^{5/6}}\left(\frac{18}{17^{1/3}}-7\right)^{1/3}&3\\ 19&\frac{1+19\sqrt{-3}}2& \frac1{27}\left[(1 + \sqrt[3]{19})^2 + 5\right]^6 &\large \frac{10}{19} \Big(1-\frac{(1-19^{1/3})^2}{3}\Big)&3\\ 29&\frac{1+29\sqrt{-3}}2& 4(u_1)^6&\frac{15}{29^{5/6}}(u_2)^{1/3} &5\\ 31&\frac{1+31\sqrt{-3}}2& \frac1{27}( v_1)^6 &\frac{16}{31} (v_2)&5\\ \hline \end{array}$$

and so on, where $U_{13} = \frac{3+\sqrt{13}}2$, $U_{33} = 23+4\sqrt{33}\,$ are fundamental units, while $u_i$ and $v_i$ are roots of quintics, etc. (While the quintics were solvable in radicals, unfortunately they don't have the simple form as the others. The original forms for $p=17,19$ were found by yours truly while alternative ones were suggested by Reshetnikov.) And $\text{Deg}$ is degree of $\alpha(\tau)$ and $\beta^6(\tau)$.

Conjecture 1: Let $\tau = \frac{1+p\sqrt{-3}}{2}$. Using the Dedekind eta function quotient $\lambda=\frac{\eta\big(\tfrac{\tau+1}{3}\big)}{\eta(\tau)}$, then $\alpha$ is just a quadratic, $$16\cdot27\,\alpha(1+\alpha)=\left( \lambda^6 -27\, \lambda^{-6} \right)^2$$ or more simply, $$\alpha = \frac1{4\sqrt{27}}\big(\lambda^3-\sqrt{27}\,\lambda^{-3}\big)^2\tag4$$ And if $p=6k\pm1$ is a prime, then $\alpha$ and $\beta^6$ of $(3)$ are algebraic numbers of degree $k$.

Alternatively, one can use the well-known j-function $j(\tau)$, $$j(\tau) = {1 \over q} + 744 + 196884 q + 21493760 q^2 + 864299970 q^3+\dots$$ which is easily calculated in Mathematica as 12^3KleinInvariantJ[tau].

Conjecture 2: Let $\tau = \frac{1+p\sqrt{-3}}{2}$. Then $\alpha$ is an appropriate root of, $$j(\tau) = \frac{432}{1+f}\left(\frac{5+4f}{1 - f}\right)^3,\quad \text{where}\quad f = \frac{2\alpha+1}{2\sqrt{\alpha(1+\alpha)}}$$

P.S. Conjecture 2 is indebted to the answer by Noam Elkies, though the nature of $\tau$ which should provide the correct $\alpha(\tau)$ seems to have been left out.

  • There has to be a closed-form for $\beta$ as well, though I haven't figured it out. – Tito Piezas III Dec 16 '16 at 17:00
  • 1
    Let me mention that the result for $p=17$ can be simplified a little: $\displaystyle\small\frac{9}{17} \sqrt[6]{833 + 324 \cdot 17^{1/3} - 252 \cdot 17^{2/3}} = \frac{9 \sqrt[3]{18 - 7 \sqrt[3]{17}}}{17^{17/18}}$ – Vladimir Reshetnikov Dec 16 '16 at 18:10
  • @VladimirReshetnikov: Beautiful! I've made some edits. It seems like $p=5, 11,17$ have similar forms. – Tito Piezas III Dec 16 '16 at 18:40
  • 1
    We can also note identities $\small 4\left(19894 + 7737 \cdot 17^{1/3} + 3009 \cdot 17^{2/3}\right) = \frac 4 {729} \left[\left(1 + \sqrt[3]{17}\right)^2 + 6\right]^6$ and $\small \frac 1 3 \left(1464289 + 548752 \cdot 19^{1/3} + 205648 \cdot 19^{2/3}\right) = \frac 1 {27} \left[\left(1 + \sqrt[3]{19}\right)^2 + 5\right]^6$ – Vladimir Reshetnikov Dec 16 '16 at 19:50
  • @VladimirReshetnikov: Great! It turns out the $\alpha(\tau)$ for $p=29,31$ involve $6$th powers as well. – Tito Piezas III Dec 17 '16 at 06:07
  • $u_1$ is solvable in radicals: http://mathb.in/114449 – Vladimir Reshetnikov Dec 17 '16 at 21:42
  • 1
    @VladimirReshetnikov: I had checked the four $u_i, v_i$ and, yes, they are all solvable. Unfortunately, they don't have the nice forms as the lower $p$. An alternative form for $u_1$ is $$\small u_1=\tfrac{1}{5}, \big(38+29^{1/5}\big(r_1^{1/5}+ r_2^{1/5}+ r_3^{1/5}+ r_4^{1/5} \big) \big)$$ where the $r_i$ are the roots of $$\small 29^{11}\cdot89^5 - 29^5\cdot4758564268748 r + 29^2\cdot61268927474 r^2 - 11852468 r^3 + r^4=0$$ Also, the septics for $p=41,43$ are solvable as well, but don't have nice forms. – Tito Piezas III Dec 18 '16 at 07:32
  • What algorithm do you use to recognize and solve solvable septics? – Vladimir Reshetnikov Dec 19 '16 at 02:04
  • 1
    @VladimirReshetnikov: Once I establish a $7$th deg is solvable, see this post on the Magma calculator, I then form its $6$th deg Lagrange resolvent with roots $r_i$ such that $$x = \tfrac17\big(-a+r_1^{1/7}+r_2^{1/7}+\dots+r_6^{1/7} \big)$$ It just generalizes Dummit's method for quintics. – Tito Piezas III Dec 19 '16 at 06:56
  • @VladimirReshetnikov: Sure, email has been sent. – Tito Piezas III Dec 20 '16 at 17:27
  • Maybe the Pfaff transformation is of some use: $${}_2 F_1\left({{\frac13,\frac13}\atop{\frac56}}\mid z\right)=\sqrt[6]{1-z},{}_2 F_1\left({{\frac12,\frac12}\atop{\frac56}}\mid z\right)$$, as well as the quadratic transformations of the Gaussian hypergeometric function. – J. M. ain't a mathematician Dec 22 '16 at 12:59
  • @Nemo: No, I just forgot to click on my answer. By the way, I saw the link regarding the other integral. I may have another version. – Tito Piezas III Jan 21 '17 at 13:38
  • 3
    Despite the fact that I know nothing about number theory, I noticed that $$ _2F_1\left(\frac{2}{3},\frac{2}{3};\frac{7}{6};-4\right)=\frac{\sqrt{3} \Gamma \left(\frac{1}{3}\right)^6}{40 \pi ^3},$$ whose $1/3$ is replaced by $2/3$. I have also found a series of these hypergeometric special values when $a=2/3$ whose values of $\alpha$'s are same as yours. Therefore, I highly suspect that there is a transformation between $_2F_1(1/3,1/3;5/6;\alpha)$ and $_2F_1(2/3,2/3;7/6;\alpha)$. Unfortunately the latter is not algebraic. – Kemono Chen Jul 06 '19 at 09:44

2 Answers2

7

(Updated.) Courtesy of Nemo's answer, we finally find a simple closed-form solution to the equation, $$\,_2F_1\Big(\tfrac13,\tfrac13;\tfrac56;- \alpha\Big)=\beta\tag1 $$ in algebraic numbers $\alpha, \beta$ analogous to this post. Let $\lambda=\frac{\eta\big(\tfrac{\tau+1}{3}\big)}{\eta(\tau)}$, then, $$\begin{aligned} \alpha &=\alpha(\tau) =\frac{(u-1)^2}{4u} =\frac1{4\sqrt{27}}\big(\lambda^3-\sqrt{27}\,\lambda^{-3}\big)^2\\[2.5mm] \beta &= \beta(\tau) =\frac{1+N}{432^{1/4}}\,\color{blue}{\frac{\sqrt{-3}}{1+\tau}}\, \frac{u^{1/3}}{(2u^2-2)^{1/3}}\frac{_2F_1\Big(\tfrac13,\tfrac23;1;\tfrac{u^2}{u^2-1}\Big)}{\pi^{-1}\,K(k_3)}\end{aligned}$$ where, $$u=\frac{\lambda^6}{\sqrt{27}},\quad\tau= \tfrac{1+N\sqrt{-3}}2$$ The formulas for the equality $(1)$ holds for real $N>1,$ but $\alpha(\tau)$ and $\beta(\tau)$ are algebraic numbers for integer $N>1$. Example: $$\alpha\big(\tfrac{1+7\sqrt{-3}}2\big) = 27,\quad\quad\beta\big(\tfrac{1+7\sqrt{-3}}2\big) = \tfrac47$$ Also, note that, $$\frac{\,_2F_1\Big(\tfrac13,\tfrac23;1;\,1-\tfrac{u^2}{u^2-1}\Big)}{\,_2F_1\Big(\tfrac13,\tfrac23;1;\tfrac{u^2}{u^2-1}\Big)}=\color{blue}{\frac{\sqrt{-3}}{1+\tau}}$$


(Old answer) It seems,

$$_2F_1\left(\frac16,\frac13;\frac12;\,\gamma^2\right)=\delta\tag1$$ $$_2F_1\left(\frac13,\frac13;\frac56;-\alpha\right)=\beta\tag2$$ are complementary. Let $N$ be any positive integer.

I. If $\color{brown}{\tau =N\sqrt{-3}}\,$ and $\gamma$ is an appropriate root of,

$$\color{blue}{j(\tau) = \frac{432}{1+\gamma}\left(\frac{5+4\gamma}{1 - \gamma}\right)^3}$$ or alternatively, $$\frac{108}{1-\gamma^2}=\left(\frac{\eta^6\big(\tfrac{\tau}{3}\big)}{\eta^6(\tau)} +27\frac{\eta^6(\tau)}{\eta^6\big(\tfrac{\tau}{3}\big)} \right)^2$$ then $\gamma^2$ and $\delta$ of $(1)$ are algebraic numbers. Example, if $\tau =2\sqrt{-3}$, then $\gamma^2=\frac{25}{27}$ and $\delta = \frac34\sqrt{3}$.

II. If $\color{brown}{\tau =\frac{1+N\sqrt{-3}}2}\,$ and $\alpha$ is an appropriate root of,

$$\color{blue}{j(\tau) = \frac{432}{1+f}\left(\frac{5+4f}{1 - f}\right)^3},\quad \text{where}\quad f = \frac{2\alpha+1}{2\sqrt{\alpha(1+\alpha)}}$$ or alternatively, $$432\,\alpha(1+\alpha)=\left(\frac{\eta^6\big(\tfrac{\tau+1}{3}\big)}{\eta^6(\tau)} -27\frac{\eta^6(\tau)}{\eta^6\big(\tfrac{\tau+1}{3}\big)} \right)^2$$ then $\alpha$ and $\beta$ of $(2)$ are also algebraic numbers. Example, if $\tau =\frac{1+7\sqrt{-3}}2$ then $\alpha = 27$ and $\beta = \frac47$.

Part 1, after some manipulation by the OP, can be derived a result in Zucker's and Joyce's, Special values of the hypergeometric series III. The fact that Part 2 shares tantalizing common forms suggest it may be amenable to a similar treatment.

4

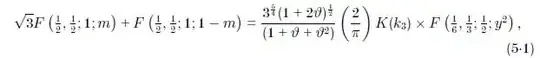
The formula for $\beta={}_2F_1\Big(\tfrac{1}{3},\tfrac{1}{3};\tfrac{5}{6};-\alpha\Big)$ in terms of elliptic integrals is $$\large\begin{align} &{}_2F_1\Big(\tfrac{1}{3},\tfrac{1}{3};\tfrac{5}{6};\tfrac{1}{2}+i\tfrac{(2+2p-p^2) (1-2 p -2p^2) (1+4p+p^2)}{6 \sqrt{3} ~p(p+2) (2 p+1)(1-p^2)}\Big)\\&=\tfrac{\sqrt[3]{p(2+p)(1-p^2)}}{K(k_3)3^{1/4} (2 p+1)^{1/6}}\Big(e^{-\frac{\pi i}{6}}K\Big(\sqrt{\tfrac{p^3 (2+p)}{1+2 p}}\Big)+\tfrac{e^{\frac{\pi i}{6}}}{\sqrt{3}}K\Big(\sqrt{1-\tfrac{p^3 (2+p)}{1+2 p}}\Big)\Big) \end{align}\tag1$$ valid for $0<p<1$ (the proof is given at the end of this post). It can be continued analytically in the vicinity of this range. One can easily see from this formula how $\alpha$ and $\beta$ are parametrized in terms of $p$. However more work needs to be done to show that they are both algebraic when suitable parameter $\tau$ takes values $\tau=\frac{1+n\sqrt{-3}}{2}$, $~n\in\mathbb{N}$. To do this one needs parametrization in terms of eta quotients. Such parametrization is given in chapter 33, of Ramanujan's Notebooks, Part V (referred in the following as V).

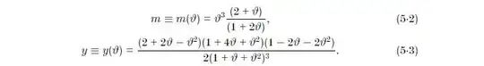
Define (according to Lemma 5.5 in V) $$p(v)=-2\,\frac{\eta\big(\tfrac{v}2\big)\,\eta^3\big(6v\big)}{\eta\big(2v\big)\,\eta^3\big(\tfrac{3v}2\big)}\tag2$$

with $\large v=\frac{\tau}{\tau+1}.$ Then $$ \alpha(\tau)=-\tfrac{1}{2}-i\tfrac{(2+2p-p^2) (1-2 p -2p^2) (1+4p+p^2)}{6 \sqrt{3} ~p(p+2) (2 p+1)(1-p^2)} $$ $$ \beta(\tau)=\tfrac{\sqrt[3]{p(2+p)(1-p^2)}}{K(k_3)3^{1/4} (2 p+1)^{1/6}}\Big(e^{-\frac{\pi i}{6}}K\Big(\sqrt{\tfrac{p^3 (2+p)}{1+2 p}}\Big)+\tfrac{e^{\frac{\pi i}{6}}}{\sqrt{3}}K\Big(\sqrt{1-\tfrac{p^3 (2+p)}{1+2 p}}\Big)\Big) $$

Example: If $\tau=\frac{1+7\sqrt{-3}}2$, then $v=\frac{7i}{26 \sqrt{3}}+\frac{25}{26}$, and $\alpha=27$, $~\beta=4/7$.

Proof of such a connection between $\tau$ and $v$ is equivalent to verification of an eta function identity, as shown in the sequel (a simpler example of analogous verification can be found in this answer). First, using the trivial identity $\eta \left(\frac{v+1}{2}\right)=\frac{\zeta_{48} \eta (v)^3}{\eta \left(\frac{v}{2}\right) \eta (2 v)}$ and modular relations for eta functions one obtains $$ p(v)=\frac{\eta^3 (4x) \eta^3 (6x) \eta^6 (x)}{\eta (12x) \eta^2 \left(3x\right) \eta^9 (2x)},\quad x=(\tau+1)/6 $$ $$ \lambda=\frac{\eta\big(\tfrac{\tau+1}{3}\big)}{\eta(\tau)}=\zeta_{24}\frac{\eta\big(\tfrac{\tau+1}{3}\big)}{\eta(\tau+1)}=\zeta_{24}\frac{\eta\big(2x\big)}{\eta(6x)},\quad x=(\tau+1)/6. $$ Then $$ \alpha(\tau)=-\tfrac{1}{2}-i\tfrac{(2+2p-p^2) (1-2 p -2p^2) (1+4p+p^2)}{6 \sqrt{3} ~p(p+2) (2 p+1)(1-p^2)}=\tfrac1{4\sqrt{27}}\big(\lambda^3-\sqrt{27}\,\lambda^{-3}\big)^2 $$ becomes an eta function identity, which can be verified algorithmically.

It is known that if $z_1,z_2\in\mathfrak{H}$belong to an imaginary quadratic field then $\eta(z_1)/\eta(z_2)$ is algebraic. Since $\tau$ and also $v$ belong to $\mathbb{Q}[\sqrt{-3}]$ one obtains that $p(v)$ is algebraic. This proves that if $\tau=\frac{1+\sqrt{-3}}2$,$~n\in\mathbb{N}$ then $\alpha$ is algebraic. To show that $\beta$ is algebraic one needs to consider only the ratios $$ \frac{K\Big(\sqrt{\tfrac{p^3 (2+p)}{1+2 p}}\Big)}{K(k_3)},~~\frac{K\Big(\sqrt{1-\tfrac{p^3 (2+p)}{1+2 p}}\Big)}{K(k_3)}\tag3 $$ but since the elliptic integrals $K\Big(\sqrt{\tfrac{p^3 (2+p)}{1+2 p}}\Big)$, $K\Big(\sqrt{1-\tfrac{p^3 (2+p)}{1+2 p}}\Big)$ have complementary moduli algebraicity of one of the ratios would automatically imply algebraicity of the other ratio. More specifically there is the formula (provided by OP) $$ \frac{_2F_1\Big(\tfrac{1}{2},\tfrac{1}{2};1;1-\tfrac{p^3 (2+p)}{1+2 p}\Big)}{_2F_1\Big(\tfrac{1}{2},\tfrac{1}{2};1;\tfrac{p^3 (2+p)}{1+2 p}\Big)}=3(1-v)\sqrt{-1}=\frac{3\sqrt{-1}}{1+\tau}.\tag{4} $$

To prove it note that (5.1-5.14 in V) $$ p(v)+2=2\frac{\eta^2 (3 v) \eta \left({v}/{2}\right) \eta^3 (2 v)}{\eta^2 (v) \eta^3 \left({3 v}/{2}\right) \eta (6 v)} $$ $$ 2p(v)+1=\frac{\eta^2 (3 v) \eta^4 \left({v}/{2}\right) }{\eta^2 (v) \eta^4 \left({3 v}/{2}\right) }. $$ These formulas give $$ \frac{p^3 (2+p)}{1+2 p}=-\frac{16 \eta (6 v)^8}{\eta \left(\frac{3 v}{2}\right)^8}. $$ Further simplification by means of $\eta \left(\frac{v+1}{2}\right)=\frac{\zeta_{48} \eta (v)^3}{\eta \left(\frac{v}{2}\right) \eta (2 v)}$ and modular relation for eta function allows one to write $$ \frac{p^3 (2+p)}{1+2 p}=\left(\frac{\eta ((\tau+1)/6)^2 \eta (2(\tau+1)/3)}{\eta ((\tau+1)/3)^3}\right)^8.\tag{5} $$ From the theory of Jacobi elliptic functions it is known that $$ \omega=i\frac{K'}{K},~K=K(k),~K'=K(k'),~k'=\sqrt{1-k^2},~k'=\large \Big(\tfrac{\eta (2 \omega) \eta^2 (\omega/2)}{\eta^3 (\omega)}\Big)^4. $$ Comparing with (5) one gets $$ \frac{\tau+1}{3}=i\frac{K\Big(\sqrt{\tfrac{p^3 (2+p)}{1+2 p}}\Big)}{K\Big(\sqrt{1-\tfrac{p^3 (2+p)}{1+2 p}}\Big)} $$ equivalent to (4).

It is seen that $\frac{\tau+1}{3}$ is obtained from $\tau_0=n\sqrt{-3}$ by a shift $\tau_0\to\tau_0+1$, duplication, then another analogous shift and triplication. This means that the ratios (3) are algebraic.


Proof of equation (1). First step is to rewrite $\beta$ in terms of hypergeometric functions with the third parameter $1/2$ and $3/2$ according to eq. 2.11(3) from Erdelyi et. al. vol I

$${}_2F_1\Big(\tfrac{1}{3},\tfrac{1}{3};\tfrac{5}{6};\tfrac12+\tfrac{z}{2}\Big)=\tfrac{\sqrt{\pi } ~\Gamma \left(\frac{5}{6}\right)}{\Gamma \left(\frac{2}{3}\right)^2}{}_2F_1\Big(\tfrac{1}{6},\tfrac{1}{6};\tfrac{1}{2};z^2\Big)-z\tfrac{2\sqrt{\pi } ~\Gamma \left(\frac{5}{6}\right)}{\Gamma \left(\frac{1}{6}\right)^2}{}_2F_1\Big(\tfrac{2}{3},\tfrac{2}{3};\tfrac{3}{2};z^2\Big).\tag7$$

Then the first hypergeometric on the lhs is converted to ${}_2F_1\Big(\tfrac{1}{6},\tfrac{1}{3};\tfrac{1}{2};\frac{z^2}{z^2-1}\Big)$ via Pfaff's transformation for which Zucker and Joyce in their third paper show thatenter image description here whereenter image description here The second hypergeometric function on the lhs of (7) is converted to ${}_2F_1\Big(\tfrac{2}{3},\tfrac{5}{6};\tfrac{3}{2};\frac{z^2}{z^2-1}\Big)$ by Pfaff's transformation, and subsequently to a sum of hypergeometric functions with the third parameter equal to $1$ with the help of eq. 2.11(9) from Erdelyi et. al. vol I $$ \sqrt{\tfrac{z^2}{z^2-1}}{}_2F_1\Big(\tfrac{2}{3},\tfrac{5}{6};\tfrac{3}{2};\tfrac{z^2}{z^2-1}\Big)={\tfrac{\Gamma \left(\frac{1}{6}\right) \Gamma \left(\frac{1}{3}\right)}{4z \sqrt{\pi }\Gamma \left(\tfrac{5}{6}\right)} \left(\, _2F_1\left(\tfrac{1}{3},\tfrac{2}{3};1;\tfrac{1}{2}-\tfrac{1}{2}\sqrt{\tfrac{z^2}{z^2-1}}\right)-\, _2F_1\left(\tfrac{1}{3},\tfrac{2}{3};1;\tfrac{1}{2}+\tfrac{1}{2}\sqrt{\tfrac{z^2}{z^2-1}}\right)\right)}. $$ Equation 5.17 in V enables one to write${}_2F_1\left(\tfrac{1}{3},\tfrac{2}{3};1;...\right)$ in terms of elliptic integrals. The required parametrization is $$ z=-i\frac{((2-p) p+2) (1-2 p (p+1)) (p (p+4)+1)}{3 \sqrt{3} p \left(2 p^4+5 p^3-5 p-2\right)}. $$ Combining all these formulas one eventually arrives at $$ \large\begin{align} \tfrac{2K(k_3)3^{1/4} (2 p+1)^{1/6}}{\pi \sqrt[3]{p(2+p)(1-p^2)}}{}_2F_1\Big(\tfrac{1}{3},\tfrac{1}{3};\tfrac{5}{6};\tfrac{1}{2}+i\tfrac{(2+2p-p^2) (1-2 p -2p^2) (1+4p+p^2)}{6 \sqrt{3} ~p(p+2) (2 p+1)(1-p^2)}\Big)\\=e^{-\frac{\pi i}{6}}{}_2F_1\Big(\tfrac{1}{2},\tfrac{1}{2};1;\tfrac{p^3 (2+p)}{1+2 p}\Big)+\tfrac{e^{\frac{\pi i}{6}}}{\sqrt{3}}{}_2F_1\Big(\tfrac{1}{2},\tfrac{1}{2};1;1-\tfrac{p^3 (2+p)}{1+2 p}\Big) \end{align}$$