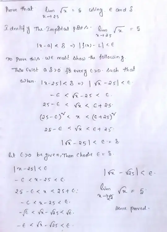
Prove that $\lim\limits_{x\to 25} \sqrt x = 5$ using $\epsilon$ and $\delta$.
can someone check my work please?
$$|x-a|<\delta \qquad\Rightarrow\qquad |f(x)-L|<\varepsilon$$ To prove this we must show the following:
There exists a $\delta>0$ for every $\varepsilon>0$ such that $$|x-25|<\delta \qquad\Rightarrow\qquad |\sqrt x-25|<\varepsilon.$$ \begin{gather*} -\varepsilon < \sqrt x - 25 < \varepsilon \\ 25-\varepsilon < \sqrt x < \varepsilon+25 \\ (25-\varepsilon)^2 < x < (\varepsilon+25)^2 \\ 25-\varepsilon < \sqrt x < \varepsilon+25 \\ |\sqrt x-25| < \varepsilon=\delta \end{gather*} Let $\varepsilon>0$ be given. Then choose $\varepsilon=\delta$. \begin{gather*} -\varepsilon < x-25 < \varepsilon \\ 25-\varepsilon < x < 25+\varepsilon \\ -\varepsilon < x-25 < \varepsilon \\ -\sqrt\varepsilon < \sqrt{x}-\sqrt{25} < \sqrt\varepsilon \\ -\varepsilon < \sqrt{x}-\sqrt{25} < \varepsilon \\ |\sqrt{x}-\sqrt{25}|<\varepsilon \\ \lim_{x\to25} \sqrt x = 5 \end{gather*} Hence proved.
