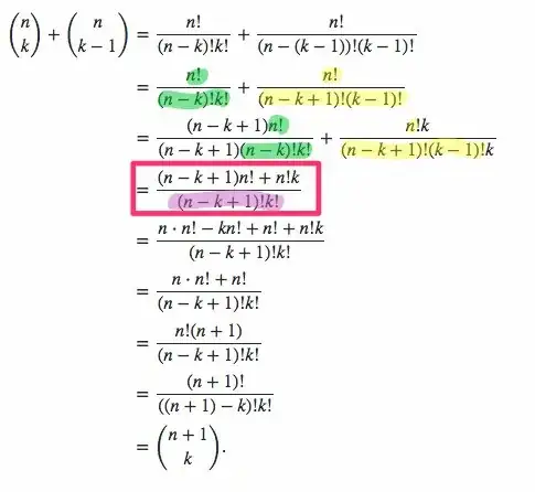
At the second line we get two fractions with unlike denominators. To add them, I thought you'd need to get them to the common denominator (n-k)!k!(n-k+1)!(k-1)!
But instead, the proof does three things that confuse me:
1) the green fraction is only multiplied by (n-k+1)/(n-k+1). I expected ((n-k+1)!(k-1)!)/((n-k+1)!(k-1)!)
2) the yellow fraction is only multiplied by k/k. I expected ((n-k)!k!)/((n-k)!k!)
3) After multiplying those green and yellow fractions by those terms, you are still left with two fractions with unlike denominators [unless I'm not seeing how to simplify]. I don't see how he winds up with the expression in the purple box.
Ugh. I'm probably making some very obvious Algebra mistake, but I cannot see it.
(this proof came from a different stackoverflow question I was interested in)
