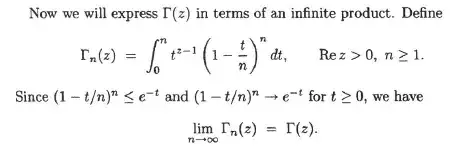
I am reading the section in Gamelin's "Complex Analysis" on the gamma function. This is on page 362:
I do not understand how the inequality $\left(1 - \frac{t}{n}\right)^n \leq e^{-t}$ is derived.
I am reading the section in Gamelin's "Complex Analysis" on the gamma function. This is on page 362:
I do not understand how the inequality $\left(1 - \frac{t}{n}\right)^n \leq e^{-t}$ is derived.
In THIS ANSWER, I showed using Bernoulli's Inequality only that $\left(1+\frac xn\right)^n$ monotonically increases for $x>-n$. Therefore, given the limit definition of the exponential function, we have
$$\left(1+\frac xn\right)^n\le e^{x}$$
for $x>-n$. Letting $x=-t$ yields
$$\left(1-\frac tn\right)^n\le e^{-t}$$
for $t<n$. And we are done!