Find the Polynomial f in two variables with coefficents which are natural numbers, so that this Polynomial is limited on $(\mathbb{N}$ without {0}) x $(\mathbb{N}$ without {0}) injective.
I just cannot find this Polynomial. I would love if some of you could help me and give me some tipps on how to solve this.
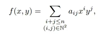
I know how the form is
