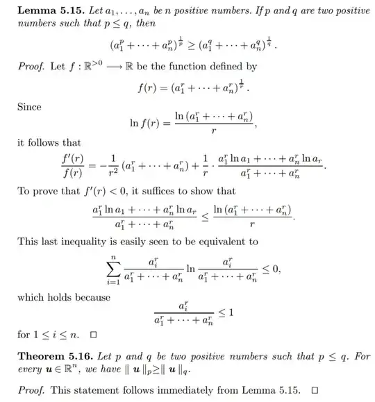
For vector p-norm defined as $(∑_{i=1}^n x_i^p )^{\frac{1}{p}}$ for any $p\ge 1$ and vector ${\bf{x}}=\{x_1,...,x_n\}$. The following proves it is decreasing with respect to $p$ by taking derivative (you don't need to read the whole proof, just have a look),
However, I am thinking if there is another approach without using the derivative. Is there any proof for monotonicity of p-norm without using derivatives? The upper bound can be proved by Holder's inequality by Relations between p norms
We have plenty of inequalities that lead to the definition of p-norm: Young's inequality, Jensen's inequality, Holder's inequality, Minkowski’s inequality. Maybe there is a proof using those inequalities?
