I'm new in this forum. I have a question about the proof of Lucas' theorem on Wikipedia (link).
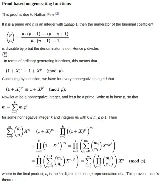
The proof is completed by looking at the coefficients of $X^n$ on both sides, ${m \choose n}$ and $\prod{m_i \choose n_i}$ respectively. And it comes out that the coefficients are congruent $\bmod p$.
But how can we say this? As I know if two polynomials of the same degree are congruent $\bmod p$, that doesn't imply that corresponding coefficients are also congruent $\bmod p$. Then how is Lucas' theorem proved?
