2

Refer to: https://www.ocf.berkeley.edu/~yosenl/math/epsilon-delta.pdf

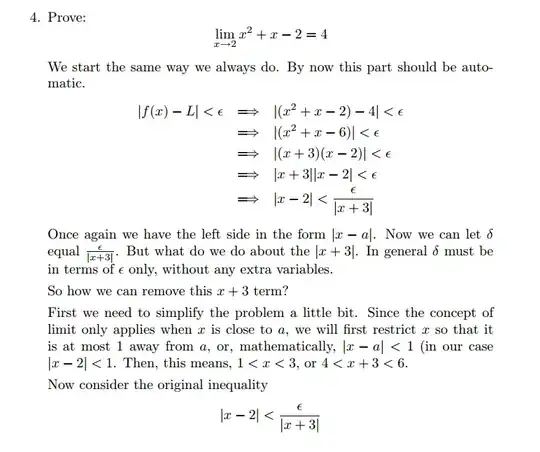
I do not understand how the first statement on the fourth page is derived. If $x+3<6$, then surely $\frac{\epsilon}{x+3}$ cannot be less than $\frac{\epsilon}{6}$, right?

EDIT: Picture of referenced section is attached.

Jed
  • 825
  • 1
    Please make your question self-contained, rather than having to download and dig through some pdf. –  Aug 25 '16 at 03:07

2 Answers2

1

From the previous line

$|x-2||x+3| < \epsilon$

We have established that $|x-2|$ is less then $\delta$

We need a construction for $\delta$ to make all this true.

$\delta < \frac {\epsilon}{x+3}$

And now we are where your question begins.

Demand that $\delta < 1$ For the purposes of the proof you only need to show that a $\delta$ exists. But, you can any further demands on it that you like. And if the circumstances require, you can demand smaller.

If $\delta < 1$ and $|x-2| < \delta$ then $|x+3|<6$

or

$-1 < x-2 < 1\\ 4 < x+3< 6$

$\delta = \min (1,\frac \epsilon 6)$

Doug M
  • 57,877
0

Let me provide another way to prove such a statement, which is more "intuitive" and admits less chance for one to go wrong. This may not be required by you; yes, I know.

The expression $x^{2}+x-2$ is meaningful for all $x \in \mathbb{R}$. If $x \in \mathbb{R}$, then $$ |x^{2}+x-2 - 4| = |x-2||x+3|. $$ If $|x-2| < 1$ (the bound "1" is chosen for convenience to bound away $|x+3|$), then $|x|-2 \leq |x-2| < 1$ (this is due to the elementary inequality $||a|-|b|| \leq |a-b|$ in analysis), implying $|x| < 3$, implying $$ |x+3| \leq |x|+3 < 6, $$ implying $$ |x-2||x+3| < 6|x-2|. $$ Given any $\varepsilon > 0$, we have $6|x-2| < \varepsilon$ if in addition we have $|x-2| < \varepsilon/6$. Now clearly if $|x-2| < \delta := \min \{ 1, \varepsilon/6 \}$, we have $|x^{2}+x-2 -4| < \varepsilon$.

Yes
  • 20,719