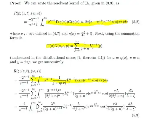
They simply replaced the $\Gamma (\eta (x)) G( \eta(x), n, 2x \left | z - w \right |^{2})$ term in the integral with the sum you highlighted below it and, assuming a few conditions, swapped the positions of the integral and sum.
– Matthew CassellAug 20 '16 at 00:06
It just swapped summation sign and integral sign without explanation in the third mark on yellow. See here for a justification.
– MasacrosoAug 20 '16 at 01:12