0

In a proof of $\sum_{k=0}^n\cos(k\theta)=\frac{1}{2}+\frac{\sin[(n+\frac{1}{2})\theta]}{2\sin(\theta/2)}$

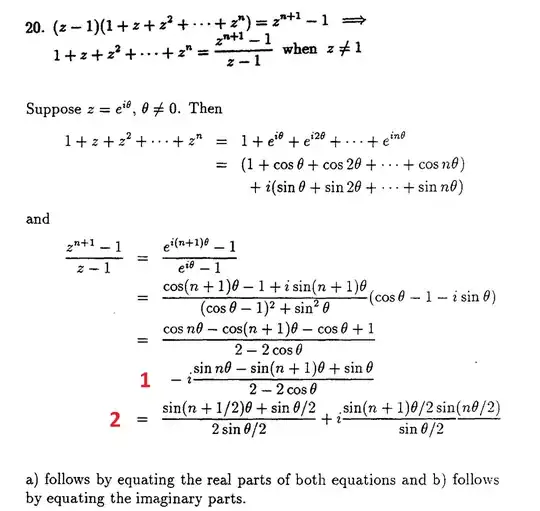
I need help figuring out the identity used to simplify from red $ \color{red}{1}$ to $\color{red}{2}$ in this proof: enter image description here Also where did the negative sign between red 1 and i come from? Please note that I do not want a proof of the formula as this has already many answers on stackexchange and I don't want the question to be marked as duplicate and closed before my question gets answered. The sum here for instance starts w/ $\cos(1\theta)$ so using Olivier's final answer and the identity $\sin(\theta)\cos(\phi)=\frac{\sin(\theta+\phi)+\sin(\theta-\phi)}{2}$ + 1 is one way.

metamorphy
  • 39,111
  • You can write it as $R(e^{I\theta})$ then that's the geometric series with $|a|<1$ – Archis Welankar Jul 23 '16 at 08:46
  • Thanks, but I don't need help proving it, I'm trying to understand the line marked with a red 1. What identity was used on the line indicated? – user5389726598465 Jul 23 '16 at 08:51
  • Oh sorry I just hurriedly read it – Archis Welankar Jul 23 '16 at 09:10
  • I saw your Riemann sphere question, but couldn't answer it before you deleted it, so I'll answer in a comment here. =) There is a simple way with purely elementary geometry. It suffices to prove that an inversion in the plane about the unit circle corresponds to a reflection in the Riemann sphere about the equatorial plane. This is easy because it reduces to a simple plane geometry problem that is solved by similar triangles. Now the result follows because the inversion is $( z \mapsto {\large\frac1{z^*}} )$. – user21820 Jul 25 '16 at 11:04
  • lol, I deleted it because I used the untranslated Complex point$|z|^2+1$in the denominator of the formula $\frac{2Re(z)}{|z|^2+1},\frac{2Im(z)}{|z|^2+1},\frac{|z|^2-1}{|z|^2+1}$.I was supposed to use the translated coordinates the denominator equals |z|(1/|z|+1) yielding$(-x_1',x_2,-x_3')$which obviously is a $180^\circ$rotation about the y-axis and thus less interesting of a question. It wouldn't make sense to have the x or y values expanded or contracted in r through the same angle in the x-y plane on the opposite cross section of the hemisphere. The point wouldn't be on the sphere anymore. – user5389726598465 Jul 25 '16 at 13:51

1 Answers1

1

I need help figuring out the identity used to simplify this expression from line red $\color{red}{1}$ (the real and imaginary parts) to $\color{red}{2}$.

One may recall that $$ 1-\cos \theta=2\sin^2(\theta/2) $$ and from the identity $$ \cos p - \cos q = -2\sin\frac{p+q}2\sin\frac{p-q}2 $$ one has$$ \cos(n\theta)-\cos((n+1)\theta)=2\sin((n+1/2)\theta)\sin(\theta/2) $$ thus $$ \begin{align} \frac{\cos(n\theta)-\cos((n+1)\theta)+1-\cos \theta}{2(1-\cos \theta)}&=\frac{2\sin((n+1/2)\theta)\sin(\theta/2)+2\sin^2(\theta/2)}{4\sin^2(\theta/2)} \\\\&=\frac{\sin((n+1/2)\theta)+\sin(\theta/2)}{2\sin(\theta/2)} \end{align} $$ as announced, then proceed similarly for the imaginary part using the identity $$ \sin p - \sin q = 2\cos\frac{p+q}2\sin\frac{p-q}2. $$

Olivier Oloa
  • 120,989
  • So the extra negative before the i on line Red 1 is thus is a typo. If you multiply the imaginary parts on the line before Red 1 you get $i\left [\color{blue}{\sin[(n+1)\theta]\cos(\theta)-cos[(n+1)\theta]\sin(\theta)}-\sin(n+1)+\sin(\theta)\right ]=\color{blue}{sin(n\theta)}-\sin[(n+1)\theta]+\sin(\theta)$ Using the suggested formula From red 1 to 2 I get $\frac{2[\cos((n+1/2)\theta)\sin(\theta/2)+\color{green}{\overset{2\sin(\theta/2)cos(\theta/2))}{\overbrace{\sin(\theta)}}}}{4\sin^2(\theta/2)}=\frac{\cos(n \theta +\theta/2)+\cos(\theta/2)}{2\sin(\theta/2)}$ – user5389726598465 Jul 23 '16 at 11:20
  • 1
    A 2nd application using the formula $\cos(p)+\cos(q)=2\cos\frac{(p+q)}{2}\cos(\frac{p-q}{2})$ yields the final result. Thanks! – user5389726598465 Jul 23 '16 at 11:20