22

In the coupon collector's problem, let $T_n$ denote the time of completion for a collection of $n$ coupons. At time $T_n$, each coupon $k$ has been collected $C_k^{n}\geqslant 1$ times. Consider how often the most frequently chosen coupon, was chosen, that is, the random variable $$C^*_n=\max_{1\leqslant k\leqslant n}C_k^{n}. $$

Can one compute $E(C^*_n)$? What is a simple asymptotics of $E(C^*_n)$ when $n$ grows large? Does $C_n^*/E(C^*_n)$ converge in distribution and, if it does, what is its limit?

Note that $C_1^n+C_2^n+\cdots+C_n^n=T_n$. Since $E(T_n)=nH_n$ where $H_n=\sum\limits_{k=1}^n\frac1k$ denotes the $n$th harmonic number, such that $H_n=\log n+O(1)$, one has $E(C_n^*)\geqslant\log n$ and $E(C_n^*)=O(n\log n)$.


In a somewhat more ambitious version of this question, consider the nondecreasing rearrangement $C_{(1)}^n\leqslant C_{(2)}^n\leqslant\cdots\leqslant C_{(n)}^n$ of $(C_1^n,C_2^n,\ldots,C_n^n)$. Thus, $C_{(1)}^n=1$ and $C_{(n)}^n=C_n^*$.

Can one compute (or, get some simple asymptotics of) each $E(C^n_{(k)})$? And what is the "profile" of the random vector $(C_{(1)}^n,C_{(2)}^n,\ldots,C_{(n)}^n)$ when $n$ grows large? To be specific:

Does the random vector $$\left(\frac{C_{(1)}^n}{C_{(n)}^n},\frac{C_{(2)}^n}{C_{(n)}^n},\ldots,\frac{C_{(n)}^n}{C_{(n)}^n}\right)$$ converge in distribution and, if it does, what is its limit?

Edit: Amy N. Myers and Herbert S. Wilf (Some New Aspects of the Coupon Collector's Problem, SIAM Review 48(3), 2006) provide explicit formulas for the distribution and the mean of the number $S_n$ of singletons. In the notations above, $S_n$ is the size of the set of $1\leqslant k\leqslant n$ such that $C^n_k=1$, and also the maximum of the set of $1\leqslant k\leqslant n$ such that $C^n_{(k)}=1$. Myers and Wilf show that, for every $i$, $$P(S_n=i)=i{n\choose i}\int_0^\infty x^{i-1}(e^x-1-x)^{n-i}e^{-nx}dx,$$ and they deduce from this the esthetically pleasing identity $$E(S_n)=H_n.$$

Did
  • 279,727

3 Answers3

7

Each coupon appears $\log n$ times on average.

If I treat the number for a single coupon as a binomial, the variance is also asymptotically $\log n$.

Now treat each of the counts as a normal variable $\mathcal N(\log n,\log n) $.

Expectation of the maximum of gaussian random variables shows the maximum of $n$ independent standard normal random variables to be around $\sqrt{2\log n}$, so the final answer would be $$\mu+\sigma \sqrt{2\log n}=\log n+\sqrt{\log n}\sqrt{2\log n}=(1+\sqrt2)\log n$$

Edit:

On the other hand, here is an argument that the limit is $e\log n$.

Treat each coupon count as an independent Poisson variable with parameter $\lambda=\log n$. The tail of the distribution is given here as $$e^{-\lambda}\frac{(e\lambda))^x}{x^x}=\frac1n\left(\frac{e\log n}x\right)^x$$ The chance that at least one coupon is inside this tail would be around $n$ times that. So the probability moves from near-zero to near-1 when $x$ is near $e\log n$.

Empy2
  • 50,853
  • Thanks. This assumes the numbers of coupons are (even roughly) independent. Are they? – Did Jul 04 '16 at 11:41
  • @Did: the upper bound in Sivaraman's answer in the linked thread doesn't use independence, is quantitative (it is true for all $n$, instead of being an asymptotic result), and only uses sub-Gaussianity (so one could work directly with the binomials, without having to justify the approximation by normals). Getting a upper bound would thus be not too hard, although one would still need to justify properly the approximation by binomials (that doesn't look too difficult). A good lower bound looks tougher. – D. Thomine Jul 04 '16 at 12:34
  • @D.Thomine The second heuristics in this post and the simulations in John's answer both seem to infirm the (approximate) independence assumed in the first heuristics. – Did Jul 06 '16 at 12:15
2

Here is a simple simulation in Python 3:

import random

def completeCollection(n):
    #collects random "coupons"
    #in range 0,1,...,n-1
    #until each is encountered at least once
    #returns the list of counts

    counts = [0]*n
    collected = set()
    while len(collected) < n:
        coupon = random.randint(0,n-1)
        counts[coupon] += 1
        collected.add(coupon)
    return counts

def expectedMax(n,trials):
    #estimates the number of times
    #the most collected coupon is
    #collected while collecting n coupons
    count = 0
    for i in range(trials):
        count += max(completeCollection(n))
    return count/trials

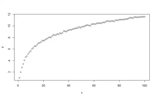
I evaluated [expectedMax(n,1000) for n in range(1,101)] and obtained:

[1.0, 1.985, 2.79, 3.403, 4.052, 4.575, 4.784, 5.145, 5.45, 5.672, 6.008, 6.198, 6.515, 6.508, 6.765, 7.006, 7.074, 7.207, 7.466, 7.416, 7.534, 7.711, 7.812, 7.992, 8.049, 8.012, 8.268, 8.467, 8.408, 8.467, 8.604, 8.54, 8.779, 8.666, 8.804, 9.121, 9.076, 9.033, 9.179, 9.289, 9.344, 9.33, 9.479, 9.456, 9.601, 9.613, 9.644, 9.836, 9.693, 9.82, 9.886, 9.944, 10.044, 10.124, 10.161, 10.113, 10.039, 10.273, 10.334, 10.345, 10.317, 10.454, 10.519, 10.483, 10.491, 10.496, 10.617, 10.593, 10.719, 10.859, 10.885, 10.782, 10.858, 10.841, 10.87, 10.804, 11.005, 11.005, 10.993, 11.105, 11.092, 11.121, 11.106, 11.159, 11.198, 11.209, 11.291, 11.393, 11.444, 11.428, 11.395, 11.584, 11.533, 11.511, 11.545, 11.559, 11.601, 11.585, 11.61,11.617]

Plotted this looks like:

enter image description here

which looks somewhat logarithmic. It also looks somewhat like a square root, but I evaluated expectedMax(1000,1000) and got 17.835, which suggests that the growth rate is slower than a square root.

John Coleman
  • 5,401
  • Nice, +1. This suggests that $E(C_n^*)/\ln n\to c$ with $c\approx17.835/\ln(1000)\approx2.58$. – Did Jul 04 '16 at 06:11
  • @Did I ran expectedMax(10**5,30) and on one run obtained 29.833, which when you divide it by ln(100000) gives 2.59 -- which is greater than the heuristic 1+sqrt(2) that Michael came up with, but in the same ball-park. – John Coleman Jul 04 '16 at 14:02
1

For your first question Michael's second heuristic (that the $C_1^*$ is approximately $e \log n$) is correct. This follows from combining the observation that $T_n$ is with high probability very close to $n \ln n$ with a result of Raab and Steger (Case 2 of Theorem 1 here) that gives precise asymptotics for the behavior of the most collected coupon at time $c n \ln n$.

This question was also asked at Math Overflow, and my answer there gives more details (in particular, why you should expect enough concentration around the mean to turn "with high probability" into a statement about the expectation).